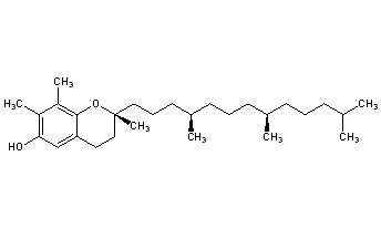
gamma-Tocopherol
Structural Formula Vector Image
Title: g-Tocopherol
CAS Registry Number: 54-28-4; 7616-22-0 (dl-form)
CAS Name: (2R)-3,4-Dihydro-2,7,8-trimethyl-2-[(4R,8R)-4,8,12-trimethyltridecyl]-2H-1-benzopyran-6-ol
Additional Names: (+)-2,7,8-trimethyl-2-(4,8,12-trimethyltridecyl)-6-chromanol; (R,R,R)-g-tocopherol; 7,8-dimethyltocol; o-xylotocopherol
Molecular Formula: C28H48O2
Molecular Weight: 416.68
Percent Composition: C 80.71%, H 11.61%, O 7.68%
Literature References: One of the naturally occurring forms of vitamin E, q.v. Most abundant tocopherol in soybean and corn oils. Isoln by fractional crystn: Emerson et al., Science 83, 421 (1936); J. Biol. Chem. 113, 319 (1936); J. G. Baxter et al., J. Am. Chem. Soc. 65, 918 (1943). Prepn of crystalline natural form: C. D. Robeson, J. Am. Chem. Soc. 65, 1660 (1943). Comparison of bioactivity with a-tocopherol, q.v.: J. G. Bieri, R. P. Evarts, J. Nutr. 104, 850 (1974). Protective effects vs reactive nitrogen oxide species: R. V. Cooney et al., Proc. Natl. Acad. Sci. USA 90, 1771 (1993); S. Christen et al., ibid. 94, 3217 (1997). HPLC determn in serum: A. Sobczak et al., J. Chromatogr. B 730, 265 (1999). Review of bioavailability, metabolism, and activity: Q. Jiang et al., Am. J. Clin. Nutr. 74, 714-722 (2001).
Properties: Pale yellow, viscous oil. Has been crystallized as transparent needles, mp -3 to -2°. bp0.1 200-210°. [a]546.125 -2.4° (c = 8.59 in benzene); [a]546.125 +2.2° (c = 9.32 in ethanol). uv max: 298 nm (E1%1cm 92.8). Insol in water. Freely sol in oils, fats, acetone, alcohol, chloroform, ether, other fat solvents. Very stable to heat and alkalies. Slowly oxidized by atmospheric oxygen, rapidly by ferric and silver salts. Gradually darkens on exposure to light.
Melting point: mp -3 to -2°
Boiling point: bp0.1 200-210°
Optical Rotation: [a]546.125 -2.4° (c = 8.59 in benzene); [a]546.125 +2.2° (c = 9.32 in ethanol)
Absorption maximum: uv max: 298 nm (E1%1cm 92.8)

Other Monographs:
Vanadium CarbonylHexoprenalineβ-Resorcylic AcidPolynoxylin
Conjugated EstrogensAntimony PentoxideDomiphen BromideMethargen
GelsemiumDienochlorPromegestoneMelamine
Ethyl SilicateMedrysoneFerrous Succinate2,3-Dichloro-5,6-dicyanobenzoquinone
©2006-2023 DrugFuture->Chemical Index Database