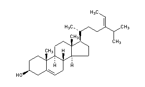
Fucosterol
Structural Formula Vector Image
Title: Fucosterol
CAS Registry Number: 17605-67-3
CAS Name: (3b,24E)-Stigmasta-5,24(28)-dien-3-ol
Additional Names: 24-ethylidenecholest-5-en-3b-ol
Molecular Formula: C29H48O
Molecular Weight: 412.69
Percent Composition: C 84.40%, H 11.72%, O 3.88%
Literature References: Isoln from Fucus vesiculosus L., Fucaceae: Heilbron et al., J. Chem. Soc. 1934, 1572; from marine brown algae (Phaeophyceae): Tsuda, Chem. Pharm. Bull. 6, 724 (1958). Structure: MacPhillamy, J. Am. Chem. Soc. 64, 1732 (1942). Stereochemistry: C. Brooks et al., Steroids 20, 487 (1972). Synthesis: Hayazu, Pharm. Bull. 5, 452 (1957).
Properties: Crystals from methanol, mp 124°. [a]D20 -38.4° (chloroform). Soluble in most organic solvents.
Melting point: mp 124°
Optical Rotation: [a]D20 -38.4° (chloroform)
 
Derivative Type: Acetate
Molecular Formula: C31H50O2
Molecular Weight: 454.73
Percent Composition: C 81.88%, H 11.08%, O 7.04%
Properties: Crystals, mp 120-121°. [a]D20 -45° (chloroform).
Melting point: mp 120-121°
Optical Rotation: [a]D20 -45° (chloroform)

Other Monographs:
Trimethyl OrthovalerateAndrostaneProphamViloxazine
2,4,6-TrimethylpyridinePiperazine AdipatePropionylpromazineSorbic Alcohol
Propargyl AlcoholAcetyl BromideTetrahydropyranChelerythrine
Dehydroascorbic AcidSilicon DioxideDarbepoetin AlfaSulfamethoxypyridazine
©2006-2023 DrugFuture->Chemical Index Database