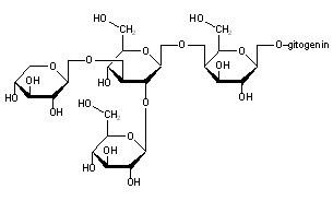
F-Gitonin
Structural Formula Vector Image
Title: F-Gitonin
CAS Registry Number: 28591-01-7
Additional Names: Gitogenin b-lycotetraoside
Molecular Formula: C50H82O23
Molecular Weight: 1051.17
Percent Composition: C 57.13%, H 7.86%, O 35.01%
Literature References: Leaf saponin from Digitalis purpurea L., Scrophulariaceae: Kawasaki, Nishioka, Chem. Pharm. Bull. 12, 1311 (1964). Structure: Kawasaki et al., Tetrahedron 21, 299 (1965). A gitogenin tetraglycoside of which the sugar composition is 2 moles D-glucose, 1 mole D-galactose, and 1 mole D-xylose; differs from gitonin (the gitogenin tetraglycoside in D. purpurea seeds), in which the sugar composition is 2 galactose, 1 glucose, and 1 xylose: Tschesche, Wulff, Ber. 94, 2019 (1961).
 
Derivative Type: Dihydrate
Properties: Needles from butanol + water, dec 252-255°. [a]D25 -58.5° (c = 0.53 in pyridine).
Optical Rotation: [a]D25 -58.5° (c = 0.53 in pyridine)

Other Monographs:
Mercurous NitrateCadmium Potassium Cyanide4-Pregnene-20,21-diol-3,11-dioneDeoxydihydrostreptomycin
Magnesium Phosphate, MonobasicDimethylaminePipamazineIsobutyl Mercaptan
AvilamycinSaccharinNicoclonateBarium Perchlorate
Benzenesulfonyl ChlorideMirtazapineAminophyllinePoison Sumac
©2006-2023 DrugFuture->Chemical Index Database