Epicillin
Structural Formula Vector Image
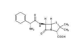
Title: Epicillin
CAS Registry Number: 26774-90-3
CAS Name: (2S,5R,6R)-6-[[(2R)-Amino-1,4-cyclohexadien-1-ylacetyl]amino]-3,3-dimethyl-7-oxo-4-thia-1-azabicyclo[3.2.0]heptane-2-carboxylic acid
Additional Names: 6-[D-a-amino-2-(1,4-cyclohexadien-1-yl)acetamido]penicillanic acid; D-a-amino-(1,4-cyclohexadien-1-yl)methylpenicillin
Manufacturers' Codes: SQ-11302
Trademarks: Dexacilina (BMS); Dexacillin (BMS); Spectacillin (Sandoz)
Molecular Formula: C16H21N3O4S
Molecular Weight: 351.42
Percent Composition: C 54.68%, H 6.02%, N 11.96%, O 18.21%, S 9.12%
Literature References: Semi-synthetic antibiotic related to penicillin. Prepn: Weisenborn et al., US 3485819 (1969 to Squibb); Dolfini et al., J. Med. Chem. 14, 117 (1971). Activity studies: Basch et al., Infect. Immun. 4, 44 (1971); Gadebusch et al., ibid. 50. Clinical trials: Woodruff et al., N. Y. State J. Med. 71, 1087 (1971); Beck et al., Curr. Ther. Res. 13, 530 (1971); Reyes, ibid. 602; Landa, ibid. 654.
Properties: Crystals, dec 202° (hemihydrate).
Therap-Cat: Antibacterial.
Keywords: Antibacterial (Antibiotics); ?Lactams; Penicillins.

Other Monographs:
Kefir FungiMethopterin3,5-Diaminobenzoic AcidFenpropathrin
AcetoximeFurametpyrNorlobelanineEthyl β-Carboline-3-carboxylate
EverolimusAlthiazideAllyl Sulfide2-Azetidinecarboxylic Acid
Malic AcidPotassium OleateBismuth Phosphate9,10-Dihydroxystearic Acid
©2006-2023 DrugFuture->Chemical Index Database