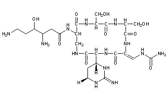
Enviomycin
Structural Formula Vector Image
Title: Enviomycin
CAS Registry Number: 33103-22-9
CAS Name: Tuberactinomycin N
Additional Names: (R)-1-[(3R,4R)-4-hydroxy-3,6-diaminohexanoic acid]-6-[L-2-(2-amino-1,4,5,6-tetrahydro-4-pyrimidinyl)glycine]viomycin
Molecular Formula: C25H43N13O10
Molecular Weight: 685.69
Percent Composition: C 43.79%, H 6.32%, N 26.56%, O 23.33%
Literature References: Polypeptide antibiotic produced by a mutant of Streptomyces griseoverticillatus var. tuberacticus. Isoln and characterization: T. Ando et al., J. Antibiot. 24, 680 (1971); A. Nagata et al., in Advan. Antimicrob. Antineopl. Chemother. vol. 1/2, M. Hejzlar et al., Eds. (University Park Press, Baltimore, 1972) pp 1039-1041. Prepn: J. Abe et al., DE 2133181; eidem, US 3892732 (1972, 1975 both to Toyo Brewing Co., Ltd.). Structural studies: H. Yoshioka et al., Tetrahedron Lett. 1971, 2043; T. Wakamiya, T. Shiba, J. Antibiot. 28, 292 (1975). Pharmacology: H. Hamakawa et al., Oyo Yakuri 8, 817 (1974), C.A. 82, 51530y (1975). Metabolism: T. Shimizu et al., Jpn. J. Antibiot. 27, 279 (1974). Total synthesis: T. Shiba et al., J. Antibiot. 32, 1078 (1979).
 
Derivative Type: Hydrochloride
Molecular Formula: C25H43N13O10.3HCl
Molecular Weight: 795.07
Percent Composition: C 37.77%, H 5.83%, N 22.90%, O 20.12%, Cl 13.38%
Properties: White crystalline powder, mp >245° (dec). [a]D21 -19.1°. uv max (water, 0.1N HCl): 268 nm (E1%1cm 342); uv max (0.1N NaOH): 288 nm (E1%1cm 215). Very sol in water, slightly sol in methanol, ethanol. Insol in common organic solvents.
Melting point: mp >245° (dec)
Optical Rotation: [a]D21 -19.1°
Absorption maximum: uv max (water, 0.1N HCl): 268 nm (E1%1cm 342); uv max (0.1N NaOH): 288 nm (E1%1cm 215)
 
Derivative Type: Sulfate
Trademarks: Tuberactin (Toyo Jozo)
Molecular Formula: C50H92N26O32S3
Molecular Weight: 1665.62
Percent Composition: C 36.05%, H 5.57%, N 21.86%, O 30.74%, S 5.78%
Properties: White crystalline powder. Sol in water, slightly sol in usual organic solvents. LD50 in mice, rats (mg/kg): 485, 680 i.v. (Hamakawa).
Toxicity data: LD50 in mice, rats (mg/kg): 485, 680 i.v. (Hamakawa)
 
Therap-Cat: Antibacterial (tuberculostatic).
Keywords: Antibacterial (Antibiotics); Polypeptides; Antibacterial (Tuberculostatic).

Other Monographs:
Indican (Metabolic Indican)Propyl ChlorideDihydroxymaleic AcidTransforming Growth Factor-β
DiphenylmagnesiumPhenosulfazoleUranium HexafluorideAfloqualone
Potassium Uranyl SulfateErdmann's SaltCholestyramine ResinMethyl Aminolevulinate
IndanofanTuaminoheptaneEpsiprantelProtionamide
©2006-2023 DrugFuture->Chemical Index Database