Elcatonin
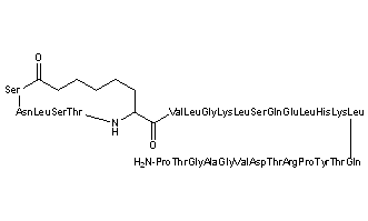
Structural Formula Vector Image
Title: Elcatonin
CAS Registry Number: 60731-46-6
CAS Name: 1-Butanoic acid 1,7-dicarbacalcitonin (eel)
Additional Names: 1,4,7,10,13,16-hexaazacyclotricosane cyclic peptide deriv; [aminosuberic acid 1,7]-eel calcitonin; [ASU1,7]-ECT; carbocalcitonin
Manufacturers' Codes: HC-58
Trademarks: Calcinil (Sclavo); Elcitonin (Toyo Jozo); Turbocalcin (SKB)
Molecular Formula: C148H244N42O47
Molecular Weight: 3363.77
Percent Composition: C 52.84%, H 7.31%, N 17.49%, O 22.36%
Literature References: Synthetic analog of eel calcitonin in which the 1 and 7 cystine residues have been modified to deaminosuberic acid. Inhibits osteoclast bone resorption and induces uptake of calcium from body fluids. Prepn: S. Sakakibara et al., DE 2616399; eidem, US 4086221 (1976, 1978 both to Toyo Jozo); T. Morikawa et al., Experientia 32, 1104 (1976). Structural characterization: P. L. Mauri et al. Rapid Commun. Mass Spectrom. 11, 1292 (1997). Immunoassay determn in plasma: M. Takeyama et al. Biol. Pharm. Bull. 18, 900 (1995); HPLC determn in pharmaceutical prepn: K. Maekawa et al. Iyakuhin Kenkyu 32, 465 (2001). Mechanistic study: M. Ikegame et al., J. Bone Miner. Res. 9, 25 (1994). Clinical pharmacology: T. Ishioka, Pharmatherapeutica 1, 625 (1977); in Paget's disease patients: A. Caniggia et al., Minerva Med. 74, 993 (1983). Clinical trial in osteoporosis: Italian Osteoporosis Network, Curr. Ther. Res. 45, 502 (1989); in combination with alfacalcidol, q.v.: T. Fujita et al. J. Bone Miner. Metab. 15, 223 (1997).
Therap-Cat: Calcium regulator. Treatment of Paget's disease.
Keywords: Antipagetic; Calcium Regulator.

Other Monographs:
Thorium SulfateIsochondrodendrineNiobium Potassium OxypentafluorideLithium Perchlorate
AldicarbFedotozinem-Nitrocinnamic AcidBenziodarone
Sodium RhodizonateIndium TrifluorideCupric p-PhenolsulfonatePentobarbital
Heteronium BromideSodium SesquicarbonateCannabidiol1-Triacontanol
©2006-2023 DrugFuture->Chemical Index Database