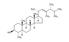
Dinosterol
Structural Formula Vector Image
Title: Dinosterol
CAS Registry Number: 58670-63-6
CAS Name: (3b,4a,5a,22E)-4,23-Dimethylergost-22-en-3-ol
Additional Names: 4a-methyl-5a(H)-D22-23,24-dimethylcholesten-3b-ol; Black Sea sterol
Molecular Formula: C30H52O
Molecular Weight: 428.73
Percent Composition: C 84.04%, H 12.23%, O 3.73%
Literature References: Biogenetically important marine sterol isolated from the toxic dinoflagellate, Gonyaulax tamarensis. Isoln and structure determn: Y. Shimizu et al., J. Am. Chem. Soc. 98, 1059 (1976). Stereochemistry: J. Finer et al., J. Org. Chem. 43, 1990 (1978). Identity with the Black Sea sterol: J. J. Boon et al., Nature 277, 125 (1979). Stereospecific synthesis: A. Y. L. Shu, C. Djerassi, Tetrahedron Lett. 22, 4627 (1981).
Properties: Needles from methanol-chloroform, mp 220-222° (Shimizu). Also reported as mp 211-214° (Shu, Djerassi). [a]20D -2.2° (in CHCl3).
Melting point: mp 220-222°; mp 211-214° (Shu, Djerassi)
Optical Rotation: [a]20D -2.2° (in CHCl3)

Other Monographs:
AprotininPropionamidePhenolsulfonphthaleinQuinoline Yellow
Ethyl Menthane Carboxamide5-Diazouracil3,5-Dibromo-4-hydroxybenzenesulfonic AcidEllman's Reagent
Isovaleryl ChlorideNeopentyl GlycolSulfamethylthiazoleDiacetazotol
PropylenediamineAmorolfineMoricizineCassella's Acid F
©2006-2023 DrugFuture->Chemical Index Database