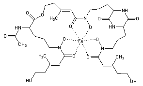
Coprogen
Structural Formula Vector Image
Title: Coprogen
CAS Registry Number: 31418-71-0
Molecular Formula: C35H53FeN6O13
Molecular Weight: 821.67
Percent Composition: C 51.16%, H 6.50%, Fe 6.80%, N 10.23%, O 25.31%
Literature References: Iron-contg, growth-promoting complex. Isoln from Penicillium spp: Hesseltine et al., J. Am. Chem. Soc. 74, 1362 (1952). Pidacks et al., ibid. 75, 6064 (1953); Gaeumann, Vischer, US 3297526 (1967 to Ciba). Isoln from Aspergillaceae: Zaehner et al., Arch. Mikrobiol. 45, 119 (1963). Structure: Keller-Schierlein, Diekmann, Helv. Chim. Acta 53, 2035 (1970).
Properties: Clusters of brick-red needles from ethanol. Absorption max (ethanol): 217, 250, 440 nm (log e 4.46, 4.22, 3.47). Sol in water, methanol, ethanol (amorphous coprogen only), propanol, benzyl alcohol, Cellosolves. Practically insol in ether, ethyl acetate, chloroform, benzene, Cellosolve esters.
Absorption maximum: Absorption max (ethanol): 217, 250, 440 nm (log e 4.46, 4.22, 3.47)
 
Derivative Type: Desferricoprogen
Properties: Iron-free coprogen, may be obtained by treating an aq solution with 8-quinolinol yielding a light brown powder.
 
Use: Coprogen as growth-promoting agent in various organisms. Desferricoprogen to bring about excretion of iron.

Other Monographs:
DihydroergotamineBalofloxacinAllopregnaneFredericamycin A
CloxotestosteroneChromic Potassium SulfateCinnamic Acidα-Methylene Butyrolactone
NeticonazoleNovembichinTerconazoleMercamphamide
β-Amino-α-methylphenethyl AlcoholDimetacrineTertiomycinsBismuth Tetroxide
©2006-2023 DrugFuture->Chemical Index Database