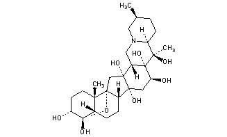
Cevine
Structural Formula Vector Image
Title: Cevine
CAS Registry Number: 124-98-1
CAS Name: (3a,4a,16b)-4,9-Epoxycevane-3,4,12,14,16,17,20-heptol
Molecular Formula: C27H43NO8
Molecular Weight: 509.63
Percent Composition: C 63.63%, H 8.50%, N 2.75%, O 25.12%
Literature References: By hydrolysis of cevadine. Structure and stereochemistry: Barton et al., Experientia 10, 81 (1954); Kupchan et al., J. Am. Chem. Soc. 80, 1769 (1958); Kupchan et al., Tetrahedron 7, 47 (1959); Eeles, Tetrahedron Letters no. 7, 24 (1960). Comparative toxicity: O. Krayer et al., J. Pharmacol. Exp. Ther. 82, 167 (1944); K. Tanaka, ibid. 113, 89 (1955).
Properties: Occurs as the hemiheptahydrate, triclinic prisms from dil alc. After drying at 110° it sinters at 165° and becomes a transparent resin at 165-170°: M. Ikawa et al., J. Biol. Chem. 159, 517 (1945). [a]D17 -17.5° (aq alc). Sol in water, alc; slightly sol in ether. LD50 i.p. in rats: 87.0 mg/kg (Krayer). LD50 s.c. in male mice: 160 mg/kg (Tanaka).
Optical Rotation: [a]D17 -17.5° (aq alc)
Toxicity data: LD50 i.p. in rats: 87.0 mg/kg (Krayer); LD50 s.c. in male mice: 160 mg/kg (Tanaka)
 
Derivative Type: Hydrochloride
Properties: mp 247°.
Melting point: mp 247°

Other Monographs:
TetrachloroethyleneAminoglutethimide1-Naphthylamine-5-sulfonic AcidCypermethrin
Wild CherryAntimony Sodium TartrateProdlureCinnamyl Anthranilate
Trypan RedHNE1-Naphthylamine-8-sulfonic AcidTellurium Tetrabromide
Esparto Wax3,3',4',5-TetrachlorosalicylanilideDihydrocodeinone Enol AcetateTetrandrine
©2006-2023 DrugFuture->Chemical Index Database