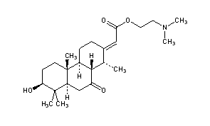
Cassaine
Structural Formula Vector Image
Title: Cassaine
CAS Registry Number: 468-76-8
CAS Name: [1R-(1a,2E,4aa,4bb,7b,8aa,10ab)]-(Dodecahydro-7-hydroxy-1,4b,8,8-tetramethyl-10-oxo-2(1H)-phenanthrenylidene)acetic acid 2-(dimethylamino)ethyl ester
Additional Names: (E)-3b-hydroxy-14a-methyl-7-oxopodocarpane-D13,a-acetic acid 2-(dimethylamino)ethyl ester
Molecular Formula: C24H39NO4
Molecular Weight: 405.57
Percent Composition: C 71.07%, H 9.69%, N 3.45%, O 15.78%
Literature References: Cardiotonic principle from the bark of Erythrophleum guineense G. Don., Leguminosae: Dalma, Helv. Chim. Acta 22, 1497 (1939). Structure: Turner et al., Tetrahedron Lett. 1959, 7; Gensler et al., J. Am. Chem. Soc. 81, 5217 (1959). Absolute configuration: Hauth et al., Helv. Chim. Acta 48, 1087 (1965); Clarke et al., J. Am. Chem. Soc. 88, 5865 (1966). Synthesis: Turner et al., ibid. 1766.
Properties: Glossy flakes from ether, mp 142.5°. [a]D23 -110.5° (alc); [a]D23 -101° (0.1N HCl). Absorption spectrum: Ruzicka, Dalma, Helv. Chim. Acta 22, 1516 (1939). Sol in methanol, ethanol, acetone, acetic acid, chloroform, ether, benzene.
Melting point: mp 142.5°
Optical Rotation: [a]D23 -110.5° (alc); [a]D23 -101° (0.1N HCl)
 
Derivative Type: Hydrochloride hydrate
Molecular Formula: C24H40ClNO4.H2O
Molecular Weight: 460.05
Percent Composition: C 62.66%, H 9.20%, Cl 7.71%, N 3.04%, O 17.39%
Properties: Minute crystals from alcohol + methyl ethyl ketone + ether (1:1:4), mp 220°.
Melting point: mp 220°

Other Monographs:
Gadoxetic Acid2,3-Dibromosuccinic AcidDecaborane(14)Aluminum Benzoate
Hydrogen BromideBufencarbMaltose1-Nitro-2-naphthol
5-Bromoanthranilic AcidDihydroxyaluminum Sodium CarbonateNegamycinZinc Chloride
Arecaidineα-MethylbenzylamineChromous OxalateMethandrostenolone
©2006-2023 DrugFuture->Chemical Index Database