Carbetocin
Structural Formula Vector Image
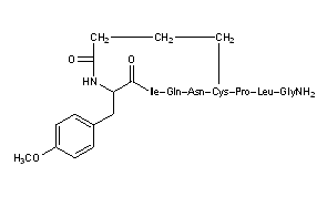
Title: Carbetocin
CAS Registry Number: 37025-55-1
CAS Name: 1-Butanoic acid-2-(O-methyl-L-tyrosine)-1-carbaoxytocin
Additional Names: 1-butyric acid-2-[3-(p-methoxyphenyl)-L-alanine]oxytocin; deamino-2-O-methyltyrosine-1-carbaoxytocin; 1-thia-4,7,10,13,16-pentaazacycloeicosane cyclic peptide deriv; 1-desamino-1-monocarba-[2-tyr(OMe)]-OT; (2-O-methyltyrosine)deamino-1-carbaoxytocin; d(COMOT)
Trademarks: Decomoton (Aesculaap); Depotocin (Spofa)
Molecular Formula: C45H69N11O12S
Molecular Weight: 988.16
Percent Composition: C 54.70%, H 7.04%, N 15.59%, O 19.43%, S 3.24%
Literature References: Synthetic carba-analog of oxytocin, q.v. Prepn: I. Fric et al., Collect. Czech. Chem. Commun. 39, 1290 (1974); J. H. Cort et al., DE 2732175 (1976 to Czech. Akad. Ved.). Chromatographic properties: M. Lebl, Collect. Czech. Chem. Commun. 45, 2927 (1980). Uterotonic and galactogogic activity: T. Barth et al., ibid. 3045; T. Barth et al., ibid. 46, 2441 (1981). Pharmacokinetics in lactating sows: N. Cort et al., Am. J. Vet. Res. 42, 1804 (1981). Use in regulation of bovine labor: Z. Veznik et al., ibid. 40, 425 (1979). Effect on milk let-down in sows: N. Cort et al., ibid. 43, 1283 (1982).
Properties: Solid from methanol with ether [a]D -69.0° (c = 0.25 in 1M acetic acid).
Optical Rotation: [a]D -69.0° (c = 0.25 in 1M acetic acid)
Therap-Cat-Vet: Oxytocic, stimulates milk let-down.

Other Monographs:
XibornolEuropiumN-NitrosopyrrolidineLupinine
Cesium BromideAllyl Ethyl EtherAmmonium SulfamateAdrenoglomerulotropin
Iofetamine 123IPlasmocidMichler's KetoneAplaviroc
Antimony PentoxidePolymerized Pyridoxylated HemoglobinQuinolinic AcidPsicofuranine
©2006-2023 DrugFuture->Chemical Index Database