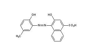
Calmagite
Structural Formula Vector Image
Title: Calmagite
CAS Registry Number: 3147-14-6
CAS Name: 3-Hydroxy-4-[(2-hydroxy-5-methylphenyl)azo]-1-naphthalenesulfonic acid
Additional Names: 1-(1-hydroxy-4-methyl-2-phenylazo)-2-naphthol-4-sulfonic acid
Molecular Formula: C17H14N2O5S
Molecular Weight: 358.37
Percent Composition: C 56.98%, H 3.94%, N 7.82%, O 22.32%, S 8.95%
Literature References: Prepn from 1-amino-2-naphthol-4-sulfonic acid and p-cresol: Lindstrom, Diehl, Anal. Chem. 32, 1123 (1960).
Properties: Red crystals from acetone. Sol in water. Absorption max (pH 10.10): 610 nm (e 20300). Functions as acid-base indicator: Aq solns are bright red at low pH, red at pH 7.1 to 9.1, blue at pH 9.1 to 11.4. The blue color at pH 10 is changed to red by the addition of calcium or magnesium.
Absorption maximum: Absorption max (pH 10.10): 610 nm (e 20300)
Use: As indicator in titration of Ca or Mg with EDTA.

Other Monographs:
GanirelixDroxicamEtoricoxibRamifenazone
Monosodium GlutamateEpicholesterolp-AminoacetanilidePhenoltetrachlorophthalein
2,3-Dimercapto-1-propanesulfonic AcidOosporeinCorticosteroneOndansetron
2-DeoxystreptamineXanthineThiamphenicolIsobornyl Thiocyanoacetate
©2006-2023 DrugFuture->Chemical Index Database