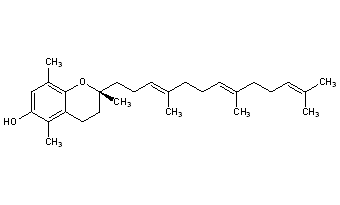
beta-Tocotrienol
Structural Formula Vector Image
Title: b-Tocotrienol
CAS Registry Number: 490-23-3
CAS Name: (2R)-3,4-Dihydro-2,5,8-trimethyl-2-[(3E,7E)-4,8,12-trimethyl-3,7,11-tridecatrienyl]-2H-1-benzopyran-6-ol
Additional Names: 2,5,8-trimethyl-2-(4,8,12-trimethyltrideca-3,7,11-trienyl)chroman-6-ol; 5-methyltocol; e-tocopherol
Molecular Formula: C28H42O2
Molecular Weight: 410.63
Percent Composition: C 81.90%, H 10.31%, O 7.79%
Literature References: One of the naturally occurring forms of vitamin E, q.v. Isoln from wheat germ oil and from bran: Eggitt, Ward, J. Sci. Food Agric. 4, 569 (1953); Eggitt, Norris, ibid. 6, 689 (1955); 7, 496 (1956). Structure: Green et al., J. Chem. Soc. 1959, 3362; Chem. Ind. (London) 1960, 73; McHale et al., J. Chem. Soc. 1963, 784. Synthesis: Schudel et al., Helv. Chim. Acta 46, 2517 (1963).
Properties: Pale yellow oil. uv max (ethanol): 296 nm (E1%1cm 87).
Absorption maximum: uv max (ethanol): 296 nm (E1%1cm 87)

Other Monographs:
SulfamethoxypyridazinePerchloric AcidSulfoniazideAmmonium Titanium Oxalate
Furazolium ChlorideChlormequat Chloride5-Bromosalicylic Acid AcetateHederagenin
IfosfamideDecamethylene GlycolAmbrisentanHistamine
PropipocaineDiazoaminobenzeneNogalamycinPhenylglyceryl Ether
©2006-2023 DrugFuture->Chemical Index Database