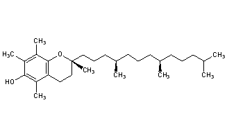
alpha-Tocopherol
Structural Formula Vector Image
Title: a-Tocopherol
CAS Registry Number: 59-02-9
CAS Name: (2R)-3,4-Dihydro-2,5,7,8-tetramethyl-2-[(4R,8R)-4,8,12-trimethyltridecyl]-2H-1-benzopyran-6-ol
Additional Names: (+)-2,5,7,8-tetramethyl-2-(4¢,8¢,12¢-trimethyltridecyl)-6-chromanol; R,R,R-a-tocopherol; d-a-tocopherol; 5,7,8-trimethyltocol
Trademarks: Optovit (Hermes); Tocovital (Steigenwald)
Molecular Formula: C29H50O2
Molecular Weight: 430.71
Percent Composition: C 80.87%, H 11.70%, O 7.43%
Literature References: Most bioactive of the naturally occurring forms of vitamin E, q.v. Richest sources are green vegetables, grains, and oils, particularly palm, safflower and sunflower oils. Isoln from wheat germ: H. M. Evans et al., J. Biol. Chem. 113, 319 (1936). Structure: E. Fernholz, J. Am. Chem. Soc. 59, 1154 (1937); 60, 700 (1938). Synthesis of dl-form: P. Karrer et al., Helv. Chim. Acta 21, 520, 820 (1938); F. Bergel et al., J. Chem. Soc. 1938, 1382. Distillation from vegetable oils and prepn of esters: J. G. Baxter et al., J. Am. Chem. Soc. 918 (1943). Prepn of crystalline natural form: C. D. Robeson, ibid. 1660; of crystalline acetate: idem, ibid. 64, 1487 (1942). Abs config of natural a-tocopherol: H. Mayer et al., Helv. Chim. Acta 46, 963 (1963). Stereoselective synthesis: K.-K. Chan et al., J. Org. Chem. 43, 3435 (1978). Total synthesis of all 8 stereoisomers: N. Cohen et al., Helv. Chim. Acta 64, 1158 (1981). Clinical trial in Alzheimer's disease: M. Sano et al., N. Engl. J. Med. 336, 1216 (1997); to improve immune function in healthy elderly: S. N. Meydani et al., J. Am. Med. Assoc. 277, 1380 (1997). Review of bioavailability from vitamin E supplements: M. G. Traber, BioFactors 10, 115-120 (1999). Review of clinical trials in heart disease: W. A. Pryor, Free Radical Biol. Med. 28, 141-164 (2000).
Properties: Transparent needles, mp 2.5-3.5°. [a]25546.1 -3.0° (benzene); [a]25546.1 +0.32° (ethanol).
Melting point: mp 2.5-3.5°
Optical Rotation: [a]25546.1 -3.0° (benzene); [a]25546.1 +0.32° (ethanol)
 
Derivative Type: Acetate
CAS Registry Number: 58-95-7
Trademarks: Spondyvit (Wyeth)
Molecular Formula: C31H52O3
Molecular Weight: 472.74
Percent Composition: C 78.76%, H 11.09%, O 10.15%
Properties: Light yellow oil. Crystallized at -30° as needle-like crystals, mp 26.5-27.5°. [a]D25 +0.25° (c = 10 in chloroform); [a]D25 +3.2° (in ethanol).
Melting point: mp 26.5-27.5°
Optical Rotation: [a]D25 +0.25° (c = 10 in chloroform); [a]D25 +3.2° (in ethanol)
 
Derivative Type: Succinate
CAS Registry Number: 4345-03-3
Additional Names: d-a-Tocopheryl acid succinate
Trademarks: Tocovite (Arnolds)
Properties: Needles from petr ether, mp 76-77°. uv max (ethanol): 286 nm (E1%1cm 38.5). Practically insol in water.
Melting point: mp 76-77°
Absorption maximum: uv max (ethanol): 286 nm (E1%1cm 38.5)
 
Derivative Type: dl-a-Tocopherol
CAS Registry Number: 10191-41-0
Additional Names: all-rac-a-Tocopherol
Literature References: Equimolar mixture of all four racemates.
Properties: Slightly viscous, pale yellow oil. d425 0.950; bp0.1 200-220°; nD25 1.5045. uv max: 294 nm (E1%1cm 71). Practically insol in water. Freely sol in oils, fats, acetone, alcohol, chloroform, ether, other fat solvents. Stable to heat and alkalies in the absence of oxygen. Not affected by acids up to 100°. Slowly oxidized by atm oxygen, rapidly by ferric and silver salts. Gradually darkens on exposure to light.
Boiling point: bp0.1 200-220°
Index of refraction: nD25 1.5045
Absorption maximum: uv max: 294 nm (E1%1cm 71)
Density: d425 0.950
 
Derivative Type: dl-a-Tocopherol acetate
CAS Registry Number: 52225-20-4
Additional Names: dl-a-Tocopheryl acetate
Trademarks: Detulin (Woelm); Ephynal (Roche); Eusovit (Strathmann); Evion (Merck KGaA)
Literature References: Comprehensive description: B. C. Rudy, B. Z. Senkowski, Anal. Profiles Drug Subs. 3, 111-126 (1974).
Properties: Pale yellow, viscous liquid. mp -27.5°. d421.3 0.9533. bp0.01 184°; bp0.025 194°; bp0.3 224°. nD20 1.4950-1.4972. uv max (cyclohexane): 285.5 nm. Practically insol in water. Freely sol in acetone, chloroform, ether. Less readily sol in alc.
Melting point: mp -27.5°
Boiling point: bp0.01 184°; bp0.025 194°; bp0.3 224°
Index of refraction: nD20 1.4950-1.4972
Absorption maximum: uv max (cyclohexane): 285.5 nm
Density: d421.3 0.9533
 
Use: As an antioxidant in vegetable oils and shortening.
Therap-Cat: Vitamin E supplement.
Therap-Cat-Vet: Vitamin E supplement.
Keywords: Vitamin/Vitamin Source; Vitamin E.

Other Monographs:
1,2,3-TrichlorobenzeneBis(pyridine)iodonium Tetrafluoroborate3-MethylarsacetinAurin
BenzestrolSodium PhosphomolybdateFlupyrsulfuron-methyl2,4,6-Trinitrotoluene
Magnesium ThiosulfateGeranylhydroquinoneBuckminsterfullerene1-Bromonaphthalene
Bornyl AcetateNitracrineIodopyracetLoracarbef
©2006-2023 DrugFuture->Chemical Index Database