Vital Red
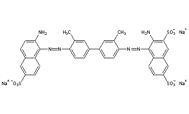
Structural Formula Vector Image
Title: Vital Red
CAS Registry Number: 574-65-2
CAS Name: 3-Amino-4-[[4¢-[(2-amino-6-sulfo-1-naphthalenyl)azo]-3,3¢-dimethyl[1,1¢-biphenyl]-4-yl]azo]-2,7-naphthalenedisulfonic acid trisodium salt
Additional Names: C.I. Direct Red 34; C.I. 23570; brilliant vital red; Brilliant Congo R; Vital Red Evans; ditolyldiazo-3,6-disulfo-b-naphthylamine-b-naphthylamine-6-sulfonic acid sodium salt
Molecular Formula: C34H25N6Na3O9S3
Molecular Weight: 826.76
Percent Composition: C 49.39%, H 3.05%, N 10.17%, Na 8.34%, O 17.42%, S 11.64%
Literature References: Prepd by diazotization of o-tolidine and coupling the resulting tetrazotolidine first with 2-naphthylamine-3,6-disulfonic acid (amino R salt) and next with 2-naphthylamine-6-sulfonic acid (Brönner acid): Palkin, Evans, J. Am. Chem. Soc. 47, 429 (1925); DE 41095; Frdl. 1, 476; Colour Index vol. 4 (3rd ed., 1971) p 4191.
Properties: Cherry-red crystals from water. Absorption max: 500 nm (aq soln). Sol in water giving a brownish-red soln. Gives blue solution with concd HCl. Slightly sol in alc.
Absorption maximum: Absorption max: 500 nm (aq soln)
Use: For blood volume determinations.

Other Monographs:
6-Aminonicotinic AcidPhenylacetaldehyde3,5-Dinitrobenzoic AcidFolescutol
D-Amino Acid OxidaseViomycinEdoxudineLeucomycins
TylocrebrineCelestin BlueSaponariaPotassium Hexachloroosmate(IV)
Mercurous Oxidep-Aminosalicylic Acid HydrazideMethyl AnthranilateCoumarilic Acid
©2006-2023 DrugFuture->Chemical Index Database