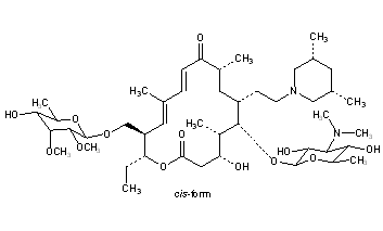
Tilmicosin
Structural Formula Vector Image
Title: Tilmicosin
CAS Registry Number: 108050-54-0
CAS Name: 4A-O-De(2,6-dideoxy-3-C-methyl-a-L-ribo-hexopyranosyl)-20-deoxo-20-(3,5-dimethyl-1-piperidinyl)tylosin
Additional Names: 20-deoxo-20-(3,5-dimethylpiperidin-1-yl)desmycosin
Manufacturers' Codes: EL-870; LY-177370
Trademarks: Micotil (Elanco); Pulmotil (Elanco)
Molecular Formula: C46H80N2O13
Molecular Weight: 869.13
Percent Composition: C 63.57%, H 9.28%, N 3.22%, O 23.93%
Literature References: Macrolide antibiotic; structurally related to tylosin, q.v. Prepd as 85:15 mixture of cis/trans isomers: M. Debono, H. A. Kirst, EP 103465; eidem, US 4820695 (1984, 1989 both to Lilly); M. Debono et al., J. Antibiot. 42, 1253 (1989). In vitro antibacterial activity: E. E. Ose, ibid. 40, 190 (1987). Metabolism and tissue residue studies in cattle: A. L. Donoho et al., ACS Symp. Ser. 503, 158-167 (1992). Trial in treatment of calf pneumonia: E. E. Ose, L. V. Tonkinson, Vet. Rec. 123, 367 (1988). Prophylactic efficacy in bovine respiratory tract disease: D. W. Morck et al., J. Am. Vet. Med. Assoc. 202, 273 (1993).
Properties: uv max: 283 nm (e 22643). pKa¢ (66% DMF): 7.4, 8.5. [a]D23 +12.75° (c = 0.010004 in CHCl3, 5 cm).
pKa: pKa¢ (66% DMF): 7.4, 8.5
Optical Rotation: [a]D23 +12.75° (c = 0.010004 in CHCl3, 5 cm)
Absorption maximum: uv max: 283 nm (e 22643)
Therap-Cat-Vet: Antibacterial.

Other Monographs:
Aluminum NicotinateDocosahexaenoic AcidBretylium TosylateChlormezanone
TetracyanoethylenePotassium ArsenateBetoxycaineSultosilic Acid
N-MethylformamideMercurous FluorideLacidipine4-(5-Isopropenyl-2-methyl-1-cyclopenten-1-yl)-2-butanone
6-MercaptopurinePolylysineMercuric Oxide, RedKhat
©2006-2023 DrugFuture->Chemical Index Database