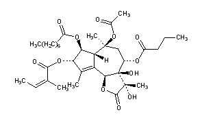
Thapsigargin
Structural Formula Vector Image
Title: Thapsigargin
CAS Registry Number: 67526-95-8
CAS Name: Octanoic acid [3S-[3a,3ab,4a,6b,6ab,7b,8a(Z),9ba]]-6-(acetyloxy)-2,3,3a,4,5,6,6a,7,8,9b-decahydro-3,3a-dihydroxy-3,6,9-trimethyl-8-[(2-methyl-1-oxo-2-butenyl)oxy]-2-oxo-4-(1-oxobutoxy)azuleno[4,5-b]furan-7-yl ester
Additional Names: thapsigargine; Tg
Molecular Formula: C34H50O12
Molecular Weight: 650.75
Percent Composition: C 62.75%, H 7.74%, O 29.50%
Literature References: Sesquiterpene lactone which inhibits intracellular Ca2+ transport ATPases. Isolated from the root of Thapsia garganica L., Apiaceae, traditionally used as a counter-irritant: U. Rasmussen et al., Acta Pharm. Suec. 15, 133 (1978). Structure elucidation: S. B. Christensen et al., Tetrahedron Lett. 21, 3829 (1980); stereochemistry from x-ray analysis: idem et al., J. Org. Chem. 47, 649 (1982). Absolute configuration: S. B. Christensen, E. Norup, Tetrahedron Lett. 26, 107 (1985). Inhibition of ATPases: J. Lytton et al., J. Biol. Chem. 266, 17067 (1991). Effect on gene expression: K. D. Rodland et al., Mol. Endocrinol. 11, 281 (1997). Review of mechanism of action: G. Inesi, Y. Sagara, Arch. Biochem. Biophys. 298, 313-317 (1992). Review of use as molecular probe: O. Thastrup et al., Agents Actions 27, 17-23 (1989); T. B. Rogers et al., Biosci. Rep. 15, 341-349 (1995).
Properties: Colorless amorphous powder.
Use: Reagent for defining and manipulating intracellular calcium pools.

Other Monographs:
Cephacetrile SodiumYogurtSulmazoleN-Nitrosodimethylamine
CryptopinePropantheline BromideCuprous SulfideTetrazolium Blue
AlloxanMelinonine ALysalbinic AcidHydrogen Selenide
3-HydroxycamphorTriptyceneN-Phenylsulfanilic AcidIndium Gallium Aluminum Phosphide
©2006-2023 DrugFuture->Chemical Index Database