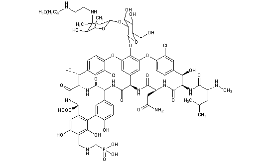
Telavancin
Structural Formula Vector Image
Title: Telavancin
CAS Registry Number: 372151-71-8
CAS Name: N3ΒΆΒΆ-[2-(Decylamino)ethyl]-29-[[(phosphonomethyl)amino]methyl]vancomycin
Molecular Formula: C80H106Cl2N11O27P
Molecular Weight: 1755.63
Percent Composition: C 54.73%, H 6.09%, Cl 4.04%, N 8.78%, O 24.61%, P 1.76%
Literature References: Broad spectrum, semi-synthetic glycopeptide antibiotic; inhibits bacterial cell wall formation and disrupts cell membrane integrity. Prepn: M. R. Leadbetter, M. S. Linsell, WO 0198328; eidem, US 6635618 (2001, 2003 both to Advanced Medicine). Chemistry and antibacterial properties: idem et al., J. Antibiot. 57, 326 (2004). Comparative in vitro antimicrobial activity: A. King et al., J. Antimicrob. Chemother. 53, 797 (2004). Mechanism of action study: D. L. Higgins et al., Antimicrob. Agents Chemother. 49, 1127 (2005). Clinical pharmacology: J. P. Shaw et al., Antimicrob. Agents Chemother. 49, 195 (2005). Clinical trial in complicated skin and soft-tissue infections: M. E. Stryjewski et al., Clin. Infect. Dis. 40, 1601 (2005). Review of discovery: J. K. Judice, J. L. Pace, Bioorg. Med. Chem. Lett. 13, 4165-4168 (2003); of clinical development: J. L. Pace, J. K. Judice, Curr. Opin. Invest. Drugs 6, 216-225 (2005).
 
Derivative Type: Hydrochloride
CAS Registry Number: 560130-42-9
Manufacturers' Codes: TD-6424
Trademarks: Arbelic (Theravance)
Molecular Formula: C80H106Cl2N11O27P.HCl
Molecular Weight: 1792.10
Percent Composition: C 53.62%, H 6.02%, Cl 5.93%, N 8.60%, O 24.10%, P 1.73%
 
Therap-Cat: Antibacterial.
Keywords: Antibacterial (Antibiotics); Polypeptides.

Other Monographs:
Allopregnan-20β-ol-3-oneOxaflozaneNabumetoneBismuth Germanate
PyrifenoxIbandronic AcidCyclopentobarbitalTiropramide
Ethylene Glycol Dinitrateo-NitroanilineMorphazinamideTetraphenylarsonium Chloride
GlyphosatePhosphamidonL-Glutamic Acid 5-Ethyl EsterNocardamin
©2006-2023 DrugFuture->Chemical Index Database