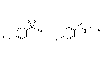
Sulfatolamide
Structural Formula Vector Image
Title: Sulfatolamide
CAS Registry Number: 1161-88-2
CAS Name: 4-Amino-N-(aminothioxomethyl)benzenesulfonamide compd with 4-(aminomethyl)benzenesulfonamide (1:1)
Additional Names: 1-sulfanilyl-2-thiourea compd with a-amino-p-toluenesulfonamide; a-amino-p-toluenesulfonamide salt with 1-sulfanilyl-2-thiourea; 4-homosulfanilamide salt with 1-sulfanilyl-2-thiourea; 1-sulfanilylthiocarbamide salt with 4-aminomethylbenzenesulfonamide
Trademarks: Marbadal (Hartmann)
Molecular Formula: C14H19N5O4S3
Molecular Weight: 417.53
Percent Composition: C 40.27%, H 4.59%, N 16.77%, O 15.33%, S 23.04%
Literature References: Prepn: Behnisch, Klarer, US 2696454 (1954 to Schenley Ind.).
Properties: Crystals, mp 179-181°. Slightly sol in water (to 0.78%) with neutral reaction. Freely sol in dil hydrochloric acid; sol in dil sodium hydroxide and ammonia; slightly sol in alcohol and acetone. Practically insol in ether.
Melting point: mp 179-181°
Therap-Cat: Antibacterial.
Keywords: Antibacterial (Synthetic); Sulfonamides.
 
 
Status: This monograph has been retired and is no longer subject to revision or update.

Other Monographs:
Diphenic AcidZinc PhosphateViridicatinα-Methylfentanyl
DiflufenzopyrDroprenilamineTFMEtymemazine
GlaucarubinBenztropine MesylateSertaconazole2,2,3,3,4,4,5,5-Octafluoro-1-pentanol
Magnesium PermanganateEculizumabPicrotinPentacynium Bis(methylsulfate)
©2006-2023 DrugFuture->Chemical Index Database