Streptomycin B
Structural Formula Vector Image
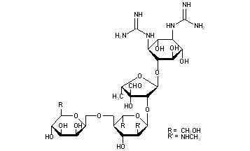
Title: Streptomycin B
CAS Registry Number: 128-45-0
Additional Names: Mannosidostreptomycin; mannosylstreptomycin
Molecular Formula: C27H49N7O17
Molecular Weight: 743.71
Percent Composition: C 43.60%, H 6.64%, N 13.18%, O 36.57%
Literature References: Isoln from streptomycin concentrates: Fried, Titus, J. Biol. Chem. 168, 391 (1947); 174, 57 (1948); Fried, Stavely, J. Am. Chem. Soc. 69, 1549 (1947); Fried, Titus, ibid. 70, 3615 (1948); O'Keeffe et al., ibid. 71, 2452 (1949); see also Langlykke, Perlman, US 2493489 (1950 to Squibb). Structure: Fried, Stavely, 113th Meeting Am. Chem. Soc., Chicago, Ill. (April 20, 1948) Abstracts of Papers p 25C; Peck et al., J. Am. Chem. Soc. 70, 3968 (1948); Stavely, Fried, ibid. 71, 135 (1949); 74, 5461 (1952).
Properties: On catalytic hydrogenation absorbs approx one mole of hydrogen and forms dihydrostreptomycin B. Yields maltol on alkaline hydrolysis. When treated with dil acids liberates streptidine (or an isomer of it) isolated as the sulfate monohydrate, C8H18N6O4.H2SO4.H2O.
 
Derivative Type: Trihydrochloride monohydrate
Molecular Formula: C27H49N7O17.3HCl.H2O
Molecular Weight: 871.11
Percent Composition: C 37.23%, H 6.25%, N 11.26%, O 33.06%, Cl 12.21%
Properties: White, amorphous powder; mp 190-200° (corr, decompn) after drying in vacuo at 100°. [a]D25 -47° (c = 1.35 in water). Appears to have about one-fourth of the antibiotic activity of streptomycin trihydrochloride.
Melting point: mp 190-200° (corr, decompn) after drying in vacuo at 100°
Optical Rotation: [a]D25 -47° (c = 1.35 in water)
 
 
Status: This monograph has been retired and is no longer subject to revision or update.

Other Monographs:
Allopregnane-3β,17α,21-triol-11,20-dioneCarbetocinOkadaic AcidCandidin
Bifidus FactorBeryllium SulfateChlorquinaldolMethylthiouracil
Poldine MethylsulfateBenzyl SalicylateValsartanPromazine
PradofloxacinTolclofos-methylBestmann-Ohira ReagentTetrathiafulvalene
©2006-2023 DrugFuture->Chemical Index Database