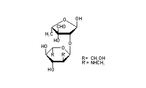
Streptobiosamine
Structural Formula Vector Image
Title: Streptobiosamine
CAS Registry Number: 126-05-6
CAS Name: 5-Deoxy-2-O-[2-deoxy-2-(methylamino)-a-L-glucopyranosyl]-3-C-formyl-L-lyxose
Molecular Formula: C13H23NO9
Molecular Weight: 337.32
Percent Composition: C 46.29%, H 6.87%, N 4.15%, O 42.69%
Literature References: A disaccharide representing two-thirds of the streptomycin molecule. It is built up from streptose and N-methyl-L-glucosamine. Structure and formation of derivatives by acid cleavage of streptomycin: Brink et al., J. Am. Chem. Soc. 68, 2096, 2405, 2557, 2679 (1946); Lemieux et al., ibid. 69, 1838 (1947); Kuehl et al., ibid. 70, 2613 (1948); 71, 1445 (1948).
 
 
Status: This monograph has been retired and is no longer subject to revision or update.

Other Monographs:
1,4-Bis(trichloromethyl)benzeneLauroguadinePotassium Tellurate(IV)Tetrahydropalmatine
GadobutrolSarsaparillam-DichlorobenzeneActaplanins
LoxoprofenClevudine1,1,2-TrichloroethaneOxametacine
Lactobionic AcidHydrochlorothiazideCupric FormateOrnoprostil
©2006-2023 DrugFuture->Chemical Index Database