Rocuronium
Structural Formula Vector Image
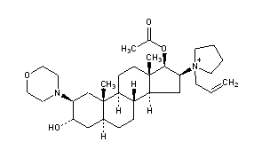
Title: Rocuronium
CAS Registry Number: 143558-00-3
CAS Name: 1-[(2b,3a,5a,16b,17b)-17-(Acetyloxy)-3-hydroxy-2-(4-morpholinyl)androstan-16-yl]-1-(2-propenyl)pyrrolidinium
Additional Names: 1-allyl-1-(3a,17b-dihydroxy-2b-morpholino-5a-androstan-16b-yl)pyrrolidinium 17-acetate
Molecular Formula: [C32H53N2O4]+
Literature References: Aminosteroid, competitive neuromuscular blocker. Prepn: D. S. Savage et al., EP 287150; T. Sleigh et al., US 4894369 (1988, 1990 both to Akzo). Pharmacology: A. W. Muir et al., Br. J. Anaesth. 63, 400 (1989); K. Khuenl-Brady et al., Anesthesiology 72, 669 (1990). Clinical pharmacodynamics: T. J. Quill et al., Anesth. Analg. 72, 203 (1991); and pharmacokinetics in the elderly: R. S. Matteo et al., ibid. 77, 1193 (1993). Comparative clinical trial: T. Magorian et al., Anesthesiology 79, 913 (1993). HPLC determn: U. W. Kleef et al., J. Chromatogr. 621, 65 (1993). Review: T. C. Wicks, J. Am. Assoc. Nurse Anesth. 62, 33-38 (1994).
 
Derivative Type: Bromide
CAS Registry Number: 119302-91-9
Manufacturers' Codes: Org-9426
Trademarks: Esmeron (Organon); Zemuron (Akzo)
Molecular Formula: C32H53BrN2O4
Molecular Weight: 609.68
Percent Composition: C 63.04%, H 8.76%, Br 13.11%, N 4.59%, O 10.50%
Properties: Crystals, mp 161-169°. [a]D20 +18.7° (c = 1.03 in CHCl3).
Melting point: mp 161-169°
Optical Rotation: [a]D20 +18.7° (c = 1.03 in CHCl3)
 
Therap-Cat: Neuromuscular blocking agent.
Keywords: Neuromuscular Blocking Agent; Nondepolarizing Agents.

Other Monographs:
Sodium TrimetaphosphateXimoprofenMeclocyclinePsoralidin
DemexiptilineTribromo-tert-butyl AlcoholEthoxzolamideSodium Metaborate
DaunorubicinChlorotrianiseneTosylmethyl Isocyanide2,5-Di-tert-pentylhydroquinone
2-NaphthalenethiolNelfinavirMercuric SubsulfateLevopropoxyphene
©2006-2023 DrugFuture->Chemical Index Database