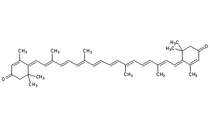
Rhodoxanthin
Structural Formula Vector Image
Title: Rhodoxanthin
CAS Registry Number: 116-30-3
CAS Name: 4¢,5¢-Didehydro-4,5-retro-b,b-carotene-3,3¢-dione
Molecular Formula: C40H50O2
Molecular Weight: 562.82
Percent Composition: C 85.36%, H 8.95%, O 5.69%
Literature References: Carotenoid pigment found widely distributed in nature, but in very small amounts only. One of very few carotenoids with retro configuration. Best isolated from the arils of Taxus baccata L., Taxaceae: Kuhn, Brockmann, Ber. 66, 828 (1933). Occurs also in the feathers of birds such as Phoenicircus nigricollis, Megaloprepia magnifica. Isoln: Volker, Z. Physiol. Chem. 292, 75 (1953). Structure: Kuhn, Brockmann, loc. cit.; Karrer, Solmssen, Helv. Chim. Acta 18, 477 (1935). Synthesis: Mayer et al., ibid. 50, 1606 (1967); Surmatis, Walser, US 3466331; US 3624105 (1969, 1971 to Hoffmann-La Roche); P. R. Ellis et al., Helv. Chim. Acta 64, 1092 (1981); E. Widmer et al., ibid. 65, 944 (1982). Review: Liaaen-Jensen in Aspects Terpenoid Chem. Biochem., Proc. Phytochem. Soc. Symp., 2nd, 1970, T. W. Goodwin, Ed. (Academic Press, London, 1971) p 223-254.
Properties: Rosettes of deep purple, lancet-shaped crystals from benzene:methanol (1:4). mp 219° (evacuated tube). Absorption max (chloroform): 546, 510, 482 nm. Freely sol in pyridine; sol in benzene, chloroform. Sparingly sol in ethanol and methanol. Practically insol in hexane, petr ether.
Melting point: mp 219° (evacuated tube)
Absorption maximum: Absorption max (chloroform): 546, 510, 482 nm
Use: Coloring material for food, beverages, pharmaceuticals and cosmetics.

Other Monographs:
Pole Reagent Paper3'-Methyl-1,2-cyclopentenophenanthreneMethomylNitrohydrochloric Acid
Febarbamate3-IodotyrosineAcetohexamideCentaury
Cupric CitrateManganese SesquioxideAstatineN-(Ethylmercuri)-p-toluenesulfonanilide
EperisoneDioxybenzoneIsobutyl NitrateSalicyl Alcohol
©2006-2023 DrugFuture->Chemical Index Database