Quinaldine Blue
Structural Formula Vector Image
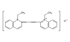
Title: Quinaldine Blue
CAS Registry Number: 2768-90-3
CAS Name: 1-Ethyl-2-[3-(1-ethyl-2(1H)-quinolinylidene)-1-propenyl]quinolinium chloride
Additional Names: bis[1-ethylquinoline-(2)]trimethinecyanine chloride; 1,1¢-diethyl-2,2¢-trimethinequinocyanine chloride; pinacyanol chloride
Trademarks: Vernitest Reagent
Molecular Formula: C25H25ClN2
Molecular Weight: 388.93
Percent Composition: C 77.20%, H 6.48%, Cl 9.12%, N 7.20%
Literature References: Prepn: Fischer, J. Prakt. Chem. 98, 204 (1918). Properties and use as histological stain: F. Proescher, Proc. Soc. Exp. Biol. Med. 31, 79 (1933); H. P. Klinger et al., Stain Technol. 46, 43 (1971); R. K. J. Narayan, ibid. 55, 9 (1980).
Properties: Bright blue-green alcohol-containing prisms or needles from alcohol. Drying at 110° expels alcohol of crystn. Dec at ~263°. Moderately sol in water with a violet-red color, in alcohol with a blue color. Solns are dichroic.
Use: Histological stain (chromosomes).

Other Monographs:
TicarbodineMercurous NitrateTricineAllethrins
Methyl Silicone ResinsSulfisomidineDimethyl(methylene)ammonium Iodide8-Hydroxy-7-iodo-5-quinolinesulfonic Acid
Cephaloridine4-Amino-2-sulfobenzoic AcidInositolMesotrione
Clodinafop-PropargylBeryllium PerchlorateChartreusinIndican (Plant Indican)
©2006-2023 DrugFuture->Chemical Index Database