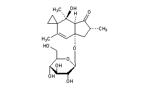
Ptaquiloside
Structural Formula Vector Image
Title: Ptaquiloside
CAS Registry Number: 87625-62-5
CAS Name: 7¢a-(b-D-Glucopyranosyloxy)-1¢,3¢a,4¢,7¢a-tetrahydro-4¢-hydroxy-2¢,4¢,6¢-trimethyl-(2¢R,3¢aR,4¢S,7¢aR)-spiro[cyclopropane-1,5¢-[5H]inden]-3¢(2¢H)-one
Additional Names: braxin C; PT
Molecular Formula: C20H30O8
Molecular Weight: 398.45
Percent Composition: C 60.29%, H 7.59%, O 32.12%
Literature References: Norsequiterpene glucoside identified as the carcinogenic priniciple of the bracken ferns, Pteridium spp. Isoln from P. aquilinum var. latiusculum: H. Niwa et al., Tetrahedron Lett. 24, 4117 (1983). Structure elucidation: eidem, ibid. 5371. HPLC determn in ferns: M. P. Agnew, D. R. Lauren, J. Chromatogr. 538, 462 (1991). Mechanism of carcinogenesis: M. Ojika et al., Tetrahedron 43, 5261 (1987); A. S. Prakash et al., Nat. Toxins 4, 221 (1996). Levels in cow's milk and health implications: M. E. Alonso-Amelot et al., Lait 78, 413 (1998). Review of chemistry and carcinogenic mechanisms: K. Yamada et al., Angew. Chem. Int. Ed. 37, 1818-1826 (1998); of biological activity: M. Shahin et al., Mutat. Res. 443, 69-79 (1999).
Properties: Colorless, hygroscopic, amorphous compound. [a]D22 -188° (c = 1 in methanol). Sol in water, methanol and ethyl acetate.
Optical Rotation: [a]D22 -188° (c = 1 in methanol)

Other Monographs:
GermineApraclonidineEtamiphyllinSphingofungins
4-(5-Isopropenyl-2-methyl-1-cyclopenten-1-yl)-2-butanoneMebiquineSulfameterQuinoxyfen
Ferric Ammonium CitrateCrystallinsTannoformCerous Fluoride
Choline DehydrocholateTrichothecinPentaerythritol TetranitrateEthopropazine
©2006-2023 DrugFuture->Chemical Index Database