Platonin
Structural Formula Vector Image
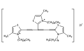
Title: Platonin
CAS Registry Number: 3571-88-8
CAS Name: 2,2¢-[3-[(3-Heptyl-4-methyl-2(3H)-thiazolylidene)ethylidene]-1-propene-1,3-diyl]bis(3-heptyl-4-methylthiazolium) diiodide
Additional Names: 4,4¢,4¢¢-trimethyl-3,3¢,3¢¢-triheptyl-8-(2¢¢-thiazolyl)-2,2¢-pentamethinethiazolocyanine 3,3¢¢-diiodide; 3,3¢,3¢¢-triheptyl-4,4¢,4¢¢-trimethyl-7-(2¢¢-methylthiazolyl-2,2¢-trimethine)thiazolcyanine 3,3¢¢-diiodide; platonin J
Manufacturers' Codes: NK-19; Kankohso 101; Photosensitizer 101
Molecular Formula: C38H61I2N3S3
Molecular Weight: 909.91
Percent Composition: C 50.16%, H 6.76%, I 27.89%, N 4.62%, S 10.57%
Literature References: Photosensitizing cyanine dye with antimicrobial and immunomodulating activities. General prepn and use in rheumatoid arthritis: I. Yamamoto, BE 894635; idem, US 4464383 (1983, 1984). Antifungal properties: K. Ito, P. K. Kuroda, Bull. Pharm. Res. Inst. Osaka Med. Coll. 3, 20 (1952), C.A. 47, 11335f (1953). Effect on experimentally induced leukopenia: H. Iwata et al., Folia Pharmacol. Jpn. 50, 169 (1954), C.A. 49, 10518b (1955). Immunomodulating effect in animals: H. Ichihashi, T. Kondo, Gann 58, 529 (1967); Y. Oyanagui, Arch. Int. Pharmacodyn. Ther. 266, 162 (1983). Enzyme immunoassay in plasma: I. Yamamoto, K. Morishita, J. Immunoassay 7, 17 (1986). Toxicity study: T. Kimoto, K. Nishitani, Kanko Shikiso 85, 43 (1977), C.A. 86, 84374m (1977).
Properties: Brilliant green crystalline powder, mp 204°. Sol in water, alcohol. LD50 in male, female mice (mg/kg): 46.9, 50.5 i.p.; in male, female rats (mg/kg): 1539, 1571 orally (Kimoto, Nishitani).
Melting point: mp 204°
Toxicity data: LD50 in male, female mice (mg/kg): 46.9, 50.5 i.p.; in male, female rats (mg/kg): 1539, 1571 orally (Kimoto, Nishitani)
Therap-Cat: Immunomodulator.
Keywords: Immunomodulator.

Other Monographs:
MethotrexateAmyl ChlorideDantroleneAcetonylacetone
IsorubijervineAcetarsoneTrifluoromethyltrimethylsilaneMethoxyflurane
Mercurous OxidePotassium ArseniteDioxaphetyl ButyrateFluoroform
Methyleneaminoacetonitrile4-Amino-3-hydroxybutyric AcidPentorexp-Phenylphenol
©2006-2023 DrugFuture->Chemical Index Database