Phenactropinium Chloride
Structural Formula Vector Image
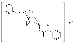
Title: Phenactropinium Chloride
CAS Registry Number: 3784-89-2
CAS Name: 3-[(Hydroxyphenylacetyl)oxy]-8-methyl-8-(2-oxo-2-phenylethyl)-8-azoniabicyclo[3.2.1]octane chloride
Additional Names: 8-benzoylmethyl-3a-hydroxy-1aH,5aH-tropanium chloride mandelate; 8-phenacylhomatropinium chloride; N-phenacyl-O-dl-mandelyltropinium chloride
Trademarks: Trophenium (Duncan Flockhart)
Molecular Formula: C24H28ClNO4
Molecular Weight: 429.94
Percent Composition: C 67.05%, H 6.56%, Cl 8.25%, N 3.26%, O 14.89%
Literature References: Prepn: Johnston, Spencer, US 2828312 (1958 to T. & H. Smith). Ganglionic blocking agent.
Properties: Crystals from hot alcohol, mp 195-197°.
Melting point: mp 195-197°
Therap-Cat: Antihypertensive.
Keywords: Antihypertensive; Quaternary Ammonium Compounds.
 
 
Status: This monograph has been retired and is no longer subject to revision or update.

Other Monographs:
Sodium MetaperiodateApiole (Parsley)Dehydroascorbic AcidFluorine Perchlorate
Sulfanilic AcidThiophenolBarium NitrateOil of Fir–Siberian
BenzoguanamineDofetilideAdipic AcidAnagestone
Neovitamin AHelvolic AcidLithium NitrateHymecromone O,O-Diethyl Phosphorothioate
©2006-2023 DrugFuture->Chemical Index Database