Pentetreotide
Structural Formula Vector Image
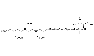
Title: Pentetreotide
CAS Registry Number: 138661-02-6
CAS Name: N-[2-[[2-[Bis(carboxymethyl)amino]ethyl](carboxymethyl)amino]ethyl]-N-(carboxymethyl)glycyl-D-phenylalanyl-L-cysteinyl-L-phenylalanyl-D-tryptophyl-L-lysyl-L-threonyl-N-[(1R,2R)-2-hydroxy-1-(hydroxymethyl)propyl]-L-cysteinamide cyclic (3®8)-disulfide
Additional Names: [DTPA-D-Phe1]-octreotide; DTPA-SMS
Manufacturers' Codes: SDZ-215-811
Molecular Formula: C63H87N13O19S2
Molecular Weight: 1394.57
Percent Composition: C 54.26%, H 6.29%, N 13.06%, O 21.80%, S 4.60%
Literature References: Octapeptide analog of somatostatin, q.v. Prepn of compd and chelate, and binding characteristics: W. H. Bakker et al., Life Sci. 49, 1583 (1991). Synthesis, biological activity and somatostatin receptor-positive tumor imaging: R. Albert et al., Actual. Chim. Ther. 21, 111 (1994). Clinical metabolism and scintigraphic studies: E. P. Krenning et al., J. Nucl. Med. 33, 652 (1992). Diagnostic imaging: E. Bombardieri et al., Eur. J. Cancer 31A, 184 (1995); F. Jamar et al., J. Nucl. Med. 36, 542 (1995); G. Kahaly et al., ibid. 550. Review of diagnostic use in neuroendocrine tumors: C. A. Hoefnagel, Eur. J. Nucl. Med. 21, 561-581 (1994); of mechanism of action: E. P. Krenning et al., Semin. Oncol. 21, Suppl. 13, 6-14 (1994).
 
Derivative Type: 111In chelate
CAS Registry Number: 139096-04-1
Additional Names: 111In pentetreotide; [111In-DTPA-D-Phe1]-octreotide
Manufacturers' Codes: MP-1727
Trademarks: OctreoScan (Mallinckrodt)
Molecular Formula: C63H84111InN13O19S2
 
Therap-Cat: 111In chelate as diagnostic aid (radioactive imaging agent).
Keywords: Somatostatin Analog.

Other Monographs:
D-AlloseDantroleneMefenorexβ-Carotene
Potassium HypophosphiteCalcium Selenide2,5-DinitrophenolCupric Sulfate, Basic
MorphenolChlordimeformThaumatinPotassium Selenide
Antimony Potassium OxalateQuatrimycin9,10-Dimethyl-1,2-benzanthraceneBismark Brown R
©2006-2023 DrugFuture->Chemical Index Database