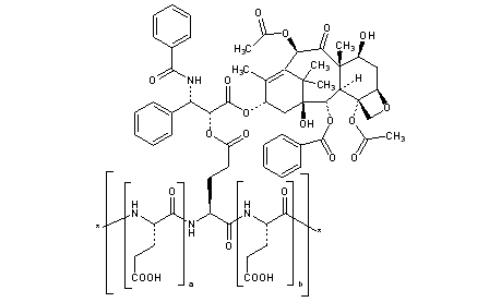
Paclitaxel Poliglumex
Structural Formula Vector Image
Title: Paclitaxel Poliglumex
CAS Registry Number: 263351-82-2
CAS Name: (1R,2S)-2-(Benzoylamino)-1-[[[(2aR,4S,4aS,6R,9S,11S,12S,12aR,12bS)-6,12b-bis(acetyloxy)-12-(benzoyloxy)-2a,3,4,4a,5,6,9,10,11,12,12a,12b-dodecahydro-4,11-dihydroxy-4a,8,13,13-tetramethyl-5-oxo-7,11-methano-1H-cyclodeca[3,4]benz[1,2-b]oxet-9-yl]oxy]carbonyl]-2-phenylethyl ester L-glutamic acid homopolymer
Additional Names: L-polyglutamic paclitaxel; PG-TXL
Manufacturers' Codes: CT-2103
Trademarks: Xyotax (Cell Therapeutics)
Literature References: Biodegradable polymer drug conjugate resulting from the random condensation of L-polyglutamic acid and paclitaxel, q.v., which has on average 10.4 monomeric glutamic acid units per paclitaxel-glutamate conjugate unit. Mol wt ~48 kDa. Prepn: C. Li et al., Cancer Res. 58, 2404 (1998). See also: eidem, US 5977163 (1999 to PG-TXL Co.). In vitro activities in comparison with paclitaxel: A. S. Multani et al., Anticancer Res. 17, 4269 (1997); E. A. Oldham et al., Int. J. Oncol. 16, 125 (2000). Irradiation enhanced tumor specificity: C. Li et al., Clin. Cancer Res. 6, 2829 (2000); L. Milas et al., Int. J. Radiat. Oncol. Biol. Phys. 55, 707 (2003). Review of properties and preclinical characterization: J. W. Singer et al., Adv. Exp. Med. Biol. 519, 81-99 (2003); of clinical development: J. W. Singer, J. Controlled Rel. 109, 120-126 (2005); M. Man, H. Rugo, IDrugs 8, 739-754 (2005).
Properties: White to off-white powder. Insol in ether; practically insol in 0.1M HCl and acetonitrile. Sol in 0.1M NaOH, 0.1M Na2HPO4 (pH 6.5); slightly sol in methanol, DMSO, dimethylformamide.
Therap-Cat: Antineoplastic.
Keywords: Antineoplastic; Alkaloids/Natural Products; Taxanes.

Other Monographs:
Magnesium SelenateAzacyclonolCetrimonium StearateFerrichromes
Anethole TrithioneCupric BorateBarberry BarkAntimony Trichloride Solution
Armepavinesym-Dichloromethyl Ether1,1-Diphenyl-2-picrylhydrazyl (Free Radical)Gallium Trifluoride
Novaluron1,1-Di-p-tolylethaneFludioxonilBefloxatone
©2006-2023 DrugFuture->Chemical Index Database