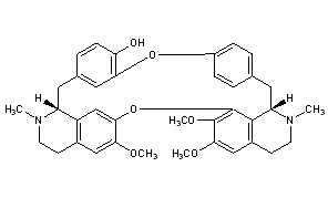
Oxyacanthine
Structural Formula Vector Image
Title: Oxyacanthine
CAS Registry Number: 548-40-3
CAS Name: 6,6¢,7-Trimethoxy-2,2¢-dimethyloxyacanthan-12¢-ol
Additional Names: vinetine
Molecular Formula: C37H40N2O6
Molecular Weight: 608.72
Percent Composition: C 73.00%, H 6.62%, N 4.60%, O 15.77%
Literature References: From root of Berberis vulgaris L., Berberidaceae: Rüdel, Arch. Pharm. 229, 631 (1891); Späth, Kolbe, Ber. 58, 2280 (1925). Structure: v. Bruchhausen et al., Ann. 507, 144 (1933); Fujita, J. Pharm. Soc. Jpn. 72, 213 (1952), C.A. 47, 6429b (1953).
Properties: White, cryst, bitter powder. mp 216-217°. [a]D20 +131.5° (chloroform). Practically insol in water; sol in alcohol, chloroform, ether, dil acids.
Melting point: mp 216-217°
Optical Rotation: [a]D20 +131.5° (chloroform)
 
Derivative Type: Dihydrochloride
Molecular Formula: C37H40N2O6.2HCl
Molecular Weight: 681.65
Percent Composition: C 65.19%, H 6.21%, N 4.11%, O 14.08%, Cl 10.40%
Properties: mp 270-271°. [a]D +185.5°. Sol in water.
Melting point: mp 270-271°
Optical Rotation: [a]D +185.5°

Other Monographs:
GuanfacineBuphanitineBisdequalinium ChlorideIsobutyl Ether
Riboflavin MonophosphateN-Methylphenazonium MethosulfatePiperacillinTrandolapril
Oxiconazole NitrateAmbergrisSeaborgium10,10'-Oxydiphenoxarsine
ChartreusinMaleanilic AcidFerric Chromate(VI)Allopregnane-3β,21-diol-11,20-dione
©2006-2023 DrugFuture->Chemical Index Database