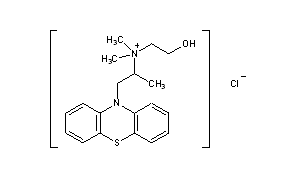
N-Hydroxyethylpromethazine Chloride
Structural Formula Vector Image
Title: N-Hydroxyethylpromethazine Chloride
CAS Registry Number: 2090-54-2
CAS Name: N-(2-Hydroxyethyl)-N,N,a-trimethyl-10H-phenothiazine-10-ethanaminium chloride
Additional Names: (2-hydroxyethyl)dimethyl(1-methyl-2-phenothiazin-10-ylethyl)ammonium chloride; N,N-dimethyl-N-[(a-methyl-b-phenothiazin-10-yl)ethyl]-N-(b-hydroxyethyl)ammonium chloride; [1-(10-phenothiazinylmethyl)ethyl]-2-hydroxyethyldimethylammonium chloride
Trademarks: Aprobit
Molecular Formula: C19H25ClN2OS
Molecular Weight: 364.93
Percent Composition: C 62.53%, H 6.91%, Cl 9.72%, N 7.68%, O 4.38%, S 8.79%
Literature References: Prepd from N,N-dimethyl-N-[(a-methyl-b-phenothiazin-10-yl)ethyl]amine and glycol chlorohydrin in methyl ethyl ketone: Carlsson, Karlson, GB 881379 (1961 to Aktiebolaget Recip).
Properties: Crystals from isopropanol, mp 233°.
Melting point: mp 233°
Therap-Cat: Antihistaminic.
Keywords: Antihistaminic; Tricyclics; Phenothiazines.
 
 
Status: This monograph has been retired and is no longer subject to revision or update.

Other Monographs:
Fructose-6-phosphateDioxathionCroscarmellose SodiumMethylergonovine
Mercurous BromideCinerins2,3-Dimethyl-1,3-butadieneCalcium Hypochlorite
Sodium PhosphotungstateMeglumine DiatrizoateSalepEthyl Biscoumacetate
DrimeninEtilefrinTriazamateSodium Thioglycolate
©2006-2023 DrugFuture->Chemical Index Database