Micronomicin
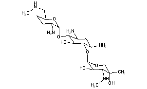
Structural Formula Vector Image
Title: Micronomicin
CAS Registry Number: 52093-21-7
CAS Name: O-2-Amino-2,3,4,6-tetradeoxy-6-(methylamino)-a-D-erythro-hexopyranosyl-(1®4)-O-[3-deoxy-4-C-methyl-3-(methylamino)-b-L-arabinopyranosyl-(1®6)]-2-deoxy-D-streptamine
Additional Names: 6¢-N-methylgentamicin C1a; gentamicin C2b; sagamicin (formerly)
Manufacturers' Codes: antibiotic KW-1062; KW-1062; XK-62-2
Molecular Formula: C20H41N5O7
Molecular Weight: 463.57
Percent Composition: C 51.82%, H 8.91%, N 15.11%, O 24.16%
Literature References: Gentamicin C complex antibiotic produced by Micromonospora sagamiensis var. nonreducans: T. Nara et al., DE 2326781 (1973 to Kyowa), C.A. 80, 58389b (1974); eidem, US 4045298 (1977 to Abbott). Isoln, physicochemical and antibacterial properties: R. Okachi et al., J. Antibiot. 27, 793 (1974). Structure: R. S. Egan et al., ibid. 28, 29 (1975). Identity with gentamicin C2b: P. J. L. Daniels et al., ibid. 35. Pharmacology: T. Hashimoto et al., Jpn. J. Antibiot. 30, 362 (1977), C.A. 89, 17113z (1978). Toxicity studies: T. Hara et al., ibid. 386-449, C.A. 89, 209205c-8f (1978). Biosynthesis: H. Kase et al., J. Antibiot. 35, 1 (1982); eidem, Agric. Biol. Chem. 46, 515 (1982). Series of articles on pharmacology, metabolism and clinical studies: Chemotherapy (Tokyo) 25, 1801-2287 (1977). See also Gentamicin.
Properties: White amorphous powder, mp 260° (dec). [a]D20 +116° (c = 1 in water). Sol in water, methanol. Insol in chloroform, ethyl acetate, benzene, petr ether. LD50 i.v. in mice: 93 mg/kg (Okachi).
Melting point: mp 260° (dec)
Optical Rotation: [a]D20 +116° (c = 1 in water)
Toxicity data: LD50 i.v. in mice: 93 mg/kg (Okachi)
 
Derivative Type: Sulfate
Additional Names: 6¢-N-Methylgentamicin C1a hemipentasulfate
Trademarks: Sagamicin (Kyowa); Santemycin (Santen)
Molecular Formula: (C20H41N5O7)2.5H2SO4
Molecular Weight: 1417.53
Percent Composition: C 33.89%, H 6.54%, N 9.88%, O 38.38%, S 11.31%
 
Therap-Cat: Antibacterial.
Keywords: Antibacterial (Antibiotics); Aminoglycosides.

Other Monographs:
2,4-DinitrophenylhydrazinePhloionolic AcidFurethidineSodium Hydride
Poractant AlfaIodinated GlycerolGastrodinSodium Methylsulfinylmethylide
HydrocarbostyrilArsonoacetic AcidSodium Thioantimonate(V)1,2-Dibromo-2,4-dicyanobutane
VanadiumFluoxymesteroneTioconazoleDyclonine
©2006-2023 DrugFuture->Chemical Index Database