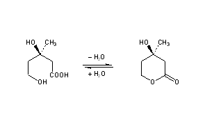
Mevalonic Acid
Structural Formula Vector Image
Title: Mevalonic Acid
CAS Registry Number: 150-97-0
CAS Name: 3,5-Dihydroxy-3-methylpentanoic acid
Additional Names: 3,5-dihydroxy-3-methylvaleric acid; b,d-dihydroxy-b-methylvaleric acid; hiochic acid
Molecular Formula: C6H12O4
Molecular Weight: 148.16
Percent Composition: C 48.64%, H 8.16%, O 43.19%
Literature References: Precursor in the biosynthesis of cholesterol. Occurs in equilibrium with the d-lactone. Isoln from distillers' solns: Wright et al., J. Am. Chem. Soc. 78, 5273 (1956). Synthesis: Wolf et al., ibid. 79, 1486 (1957); Hoffmann et al., ibid. 2316; Eggerer et al., Ann. 608, 71 (1957); US 2915398; US 2915531; US 2915532; US 2915533; US 2915551 (all 1959 to Merck & Co.); Shunk et al., US 3014963 (1961 to Merck & Co.); Hulcher, Hosick, US 3119842 (1964); F. C. Huang et al., J. Am. Chem. Soc. 97, 4144 (1975). Resolution: Shunk et al., ibid. 79, 3294 (1957); US 2945059 (1960 to Merck & Co.). Synthesis of the d-lactone: R. H. Cornforth et al., Tetrahedron 18, 1351 (1962); E. L. Eliel, K. Soai, Tetrahedron Lett. 22, 2859 (1981); A. Banerji, G. P. Kalena, Synth. Commun. 12, 225 (1982). Review of organic and biochemistry: Wagner, Folkers, Endeavour 20, 177-187 (Oct. 1961). Prepn of 5-phosphate: Robinson, Wittreich, US 3014057 (1961 to Merck & Co.). Review of role of mevalonic acid in sterol biosynthesis: G. J. Schroepfer, Jr., Annu. Rev. Biochem. 50, 585-621 (1981); E. Caspi, Tetrahedron 42, 3-50 (1986).
Properties: Oily liquid. Very sol in water, but also sol in organic solvents, especially polar organic solvents.
 
Derivative Type: d-Lactone
Additional Names: Mevalolactone; mevalonic lactone; b-hydroxy-b-methyl-d-valerolactone
Molecular Formula: C6H10O3
Molecular Weight: 130.14
Percent Composition: C 55.37%, H 7.75%, O 36.88%
Properties: Hygroscopic crystals, mp 28°.
Melting point: mp 28°
 
Derivative Type: Benzhydrylamide
Molecular Formula: C19H23NO3
Molecular Weight: 313.39
Percent Composition: C 72.82%, H 7.40%, N 4.47%, O 15.32%
Properties: Crystals from benzene + petr ether, mp 96-97°. [a]D20 -2.0° (c = 2 in ethanol).
Melting point: mp 96-97°
Optical Rotation: [a]D20 -2.0° (c = 2 in ethanol)

Other Monographs:
Neotetrazolium ChlorideHeptanoic AcidPropyromazineBalsam Gurjun
DiacetylmorphineSodium CyanoborohydrideXimoprofenMoroxydine
ItasetronPotassium FerricyanideWildfire ToxinIndan
Potassium Triiodomercurate(II) SolutionCholic AcidSulphenoneSodium Alizarinesulfonate
©2006-2023 DrugFuture->Chemical Index Database