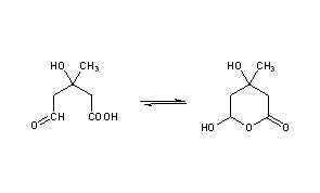
Mevaldic Acid
Structural Formula Vector Image
Title: Mevaldic Acid
CAS Registry Number: 541-07-1
CAS Name: 3-Hydroxy-3-methyl-5-oxopentanoic acid
Additional Names: 3-hydroxy-3-methylglutaraldehydic acid
Molecular Formula: C6H10O4
Molecular Weight: 146.14
Percent Composition: C 49.31%, H 6.90%, O 43.79%
Literature References: Prepn by acid hydrolysis of 3-hydroxy-3-methyl-5,5-dimethoxypentanoic acid: Shunk et al., J. Am. Chem. Soc. 79, 3294 (1957). Exists in equilibrium with b,d-dihydroxy-b-methyl-d-valerolactone.
Properties: Unstable and reactive compd. Isolated in soln only.

Other Monographs:
ChloroprednisoneAmmonium Uranium CarbonateCyanogen IodideRonnel
DaltrobanGlyconiazideα-AntiarinItasetron
Sulfur, PharmaceuticalBarium SilicideLithium Dichromate(VI)Cicutoxin
DikegulacBismuth Ethyl Camphorate1,4-Diphenyl-1,3-butadiene2-(p-Toluyl)benzoic Acid
©2006-2023 DrugFuture->Chemical Index Database