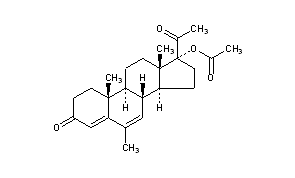
Megestrol Acetate
Structural Formula Vector Image
Title: Megestrol Acetate
CAS Registry Number: 595-33-5
CAS Name: 17-Hydroxy-6-methylpregna-4,6-diene-3,20-dione acetate
Additional Names: 17a-acetoxy-6-methylpregna-4,6-diene-3,20-dione; 6-dehydro-6-methyl-17a-acetoxyprogesterone; 6-methyl-D4,6-pregnadien-17a-ol-3,20-dione acetate
Trademarks: Maygace (BMS); Megace (BMS); Megestat (BMS); Megestil (Boehringer, Mann.); Nia (Novo); Niagestin (Novo); Ovaban (Schering)
Molecular Formula: C24H32O4
Molecular Weight: 384.51
Percent Composition: C 74.97%, H 8.39%, O 16.64%
Literature References: Orally active progestogen; formerly used in combinations as oral contraceptive. Prepn: Ringold et al., J. Am. Chem. Soc. 81, 3712 (1959); Dodson, Sollman, US 2891079 (1959 to Searle); Kirk et al., GB 870286 C.A. 56, 10248i (1962), and US 3356573 (1967 to Brit. Drug Houses); Cross, US 3400137 (1968 to Syntex). Biological effectiveness studies: Chang, Kincl, Steroids 12, 689 (1968). Metabolic studies: Cooper, Kellie, ibid. 11, 133 (1968). Soly and diffusion studies: Sundaram, Kincl, ibid. 12, 517 (1968). Comparative clinical trial with tamoxifen in metastatic breast cancer: J. C. Allergra et al., Semin. Oncol. 12, Suppl. 6, 61 (1985). Evaluation in prevention of hot flashes: C. L. Loprinzi et al., N. Engl. J. Med. 331, 347 (1994). Review of carcinogenicity studies: IARC Monographs 21, 431-439 (1979).
Properties: Crystals from methanol, mp 214-216°. Soly at 37°: in water (2 mg/ml); in plasma (24 mg/ml). [a]D24 +5° (chloroform). uv max (ethanol): 287 nm (log e 4.40).
Melting point: mp 214-216°
Optical Rotation: [a]D24 +5° (chloroform)
Absorption maximum: uv max (ethanol): 287 nm (log e 4.40)
 
Derivative Type: Mixture with ethinyl estradiol
CAS Registry Number: 8064-66-2
Trademarks: Co-Ervonum (Glaxo); Kombiquens (Novo); Noval (Yamanouchi); Nuvacon (BDH); Planovin (Novo); Tri-Ervonum (Glaxo); Volidan (BDH; Searle); Weradys (Weimer)
 
Derivative Type: Mixture with mestranol
CAS Registry Number: 8064-51-5
Trademarks: Delpregnin (Novo)
 
Therap-Cat: Progestogen. Palliative treatment of breast and endometrial carcinoma.
Therap-Cat-Vet: Progestogen. Estrus regulator.
Keywords: Antineoplastic (Hormonal); Progestogens; Progestogen.

Other Monographs:
SatraplatinTechnetium 99mTc FanolesomabAtrial Natriuretic PeptideNeovitamin A
PhysostigmaPotassium Citrate, MonobasicDiacetylmorphineDystrophin
Phenyl BenzoateCrotyl AlcoholNitrobenzoic AcidPractolol
Manganese NitrateNeticonazoleEntprolHomatropine
©2006-2023 DrugFuture->Chemical Index Database