Mannomustine
Structural Formula Vector Image
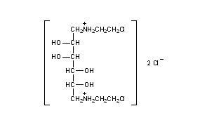
Title: Mannomustine
CAS Registry Number: 551-74-6
CAS Name: 1,6-Bis(2-chloroethylamino)-1,6-dideoxy-D-mannitol dihydrochloride
Additional Names: 1,6-dideoxy-1,6-di(2-chloroethylamino)-D-mannitol dihydrochloride; 1,6-di(2-chloroethylamino)-1,6-dideoxy-D-mannitol dihydrochloride; mannitol nitrogen mustard; BCM
Trademarks: Degranol
Molecular Formula: C10H24Cl4N2O4
Molecular Weight: 378.12
Percent Composition: C 31.76%, H 6.40%, Cl 37.50%, N 7.41%, O 16.93%
Literature References: Prepn: Vargha et al., J. Chem. Soc. 1957, 805. Toxicity: Scherf et al., Arzneim.-Forsch. 20, 1467 (1970).
Properties: Crystals from 80% ethanol, dec 239-241°. [a]D20 +18.46° (c = 1.81 in H2O). (Free base, crystals, dec 278°). Sol in water; slightly sol in ethanol. Aq solns are mildly acidic and stable at room temps. Claimed to be considerably less toxic than mechlorethamine. LD50 i.v. in rats: 56 mg/kg (Scherf).
Optical Rotation: [a]D20 +18.46° (c = 1.81 in H2O)
Toxicity data: LD50 i.v. in rats: 56 mg/kg (Scherf)
Therap-Cat: Antineoplastic.
Keywords: Antineoplastic; Alkylating Agents; Nitrogen Mustards.
 
 
Status: This monograph has been retired and is no longer subject to revision or update.

Other Monographs:
Mercuric Nitrate17α-HydroxyprogesteroneDeaminooxytocinCnicin
7-MorpholinomethyltheophyllineN-Methyl-N'-nitro-N-nitrosoguanidineCimetropium BromideThionyl Fluoride
DieldrinNickel PhosphatePotassium PerchlorateGentamicin
Benzalkonium ChlorideOrexinsMimosineL-Cystathionine
©2006-2023 DrugFuture->Chemical Index Database