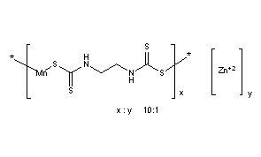
Mancozeb
Structural Formula Vector Image
Title: Mancozeb
CAS Registry Number: 8018-01-7
CAS Name: [[1,2-Ethanediylbis(carbamodithioato)](2-)]manganese mixt. with [[1,2-ethanediylbis(carbamodithioato)](2-)]zinc
Additional Names: ethylenebis(dithiocarbamic acid) manganese zinc complex; manzeb; manganese ethylenebis(dithiocarbamate) (polymeric) complex with zinc salt; zinc manganese ethylenebisdithiocarbamate
Trademarks: Dithane M-45 (Dow AgroSci.); Fore (Dow AgroSci.); Manzate (Griffin); Manzin (Crystal Chem.); Nemispor (Isagro); Penncozeb (Cerexagri); Vondozeb (Cerexagri)
Literature References: Polymeric salt of ethylenebisdithiocarbamic acid containing approx 20% manganese and 2.5% zinc; related to maneb and zineb, q.q.v. Displays activity against a wide range of foliage fungal diseases. Prepn: NZ 131543; C. B. Lyon et al., US 3379610 (1965, 1968 both to Rohm & Haas). Metabolic fate in plants, animals: W. R. Lyman, "Metabolic fate of Dithane M-45," in Pestic. Terminal Residues, Invited Pap. Int. Symp., A. S. Tahori, Ed. (Butterworth, New York, 1971) pp 243-256. Residue studies: WHO Pestic. Residues Ser. vol. 4, (WHO, FAO, 1975) 451; W. H. Newsome, J. Agric. Food Chem. 27, 1188 (1979). HPLC determn: K. Gustafsson et al., ibid. 29, 729 (1981). Demonstrates low phytotoxicity: L. H. Cornford, Proc. 36th N. Z. Weed Pest Control Conf. 258 (1983). In potato blight: H. W. Platt, Can. J. Plant Pathol. 5, 38 (1983). In vitro activity against Alternaria alternata: V. A. Bourbos et al., Br. Crop Prot. Counc. Monogr. 2, No. 31, 461 (1985). Aquatic toxicology: C. J. Van Leeuwen et al., Aquat. Toxicol. 7, 145 (1985).
Properties: Insol in water.
Use: Fungicide.

Other Monographs:
Meglumine AcetrizoatePotassium Tetrabromoaurate(III)MontmorilloniteKurchessine
Methylene ChlorideNeemSitagliptinMercuric Bromide
Sarsasapogeninβ-Bromoisovaleric AcidDidecyldimethylammonium ChlorideAntimycin A3
Chlorofluorocarbonsp,α-Dimethylbenzyl AlcoholMepixanoxThiethylperazine
©2006-2023 DrugFuture->Chemical Index Database