Lucensomycin
Structural Formula Vector Image
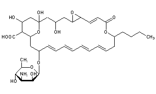
Title: Lucensomycin
CAS Registry Number: 13058-67-8
Additional Names: Antibiotic FI 1163
Manufacturers' Codes: FI-1163
Trademarks: Etruscomicina; Etruscomycin
Molecular Formula: C36H53NO13
Molecular Weight: 707.80
Percent Composition: C 61.09%, H 7.55%, N 1.98%, O 29.39%
Literature References: Polyene antifungal antibiotic isolated from cultures of Streptomyces lucensis: Arcamone et al., G. Microbiol. 4, 119 (1957); Arcamone, Perego, Ann. Chim. (Rome) 49, 345 (1959); Marini, Pennella, Proc. Symp. Antibiotics Prague (May 1959) p 148; Arcamone et al., US 3170837 (1965 to Farmitalia). Structure: Guadiano et al., Tetrahedron Lett. 1966, 3559, 3567; Gazz. Chim. Ital. 96, 1470 (1966); Chim. Ind. (Milan) 48, 1327 (1966). Revised structure: R. C. Pandey, K. L. Rinehart, J. Antibiot. 29, 1035 (1976).
Properties: Crystalline powder. [a]D20 +296° (pyridine), +50° (methanolic 0.1N HCl). uv max: 218, 278, 290, 303, 318 nm (E1%1cm 300, 370, 780, 1170, 1098). Practically insol in water, anhydr alcohol, non-polar solvents. Sol in pyridine, dimethylformamide. Unstable beyond pH 6-8, and to heat, light, or air.
Optical Rotation: [a]D20 +296° (pyridine), +50° (methanolic 0.1N HCl)
Absorption maximum: uv max: 218, 278, 290, 303, 318 nm (E1%1cm 300, 370, 780, 1170, 1098)
Therap-Cat: Antifungal.
Keywords: Antifungal (Antibiotics); Polyenes.

Other Monographs:
PhthalimideVinylbitalSecobarbital SodiumVermiculite
Sodium PeroxidePyrimethanilIbopamineAmmonium Binoxalate
Vinylidene Chloride8-Hydroxy-7-iodo-5-quinolinesulfonic Acid4,4'-Dinitrocarbanilide1-Pentanol
GalvinoxylPotassium BiphthalateDichlorophenChlorsulfuron
©2006-2023 DrugFuture->Chemical Index Database