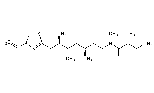
Kalkitoxin
Structural Formula Vector Image
Title: Kalkitoxin
CAS Registry Number: 247184-89-0
CAS Name: (2R)-N-[(3S,5S,6R)-7-[(4R)-4-Ethenyl-4,5-dihydro-2-thiazolyl]-3,5,6-trimethylheptyl]-N,2-dimethylbutanamide
Molecular Formula: C21H38N2OS
Molecular Weight: 366.60
Percent Composition: C 68.80%, H 10.45%, N 7.64%, O 4.36%, S 8.75%
Literature References: Neurotoxic lipopeptide isolated from the Caribbean marine algae, Lyngbya majuscula. Isoln, structure determn and synthesis: M. Wu et al., J. Am. Chem. Soc. 122, 12041 (2000). NMDA-receptor based neurotoxicity: F. W. Berman et al., Toxicon 37, 1645 (1999). Total synthesis: T. Asano et al., Tennen Yuki Kagobutsu Toronkai Koen Yoshishu 2000, 691. Brief review: J. Fricker, Drug Devel. Today 6, 223-224 (2001).
Properties: [a]D25 +16° (c = 0.07 in CHCl3). uv max (methanol): 250 nm (e 2600). LC50 in common goldfish, brine shrimp: 700, 150 nM (Wu).
Optical Rotation: [a]D25 +16° (c = 0.07 in CHCl3)
Absorption maximum: uv max (methanol): 250 nm (e 2600)
Toxicity data: LC50 in common goldfish, brine shrimp: 700, 150 nM (Wu)

Other Monographs:
TremorineN-Hydroxyethylpromethazine ChlorideAntimony Sodium TartrateFuscin
Bornyl AcetateDodineGuaiacol Valerate2,5-Bis(1-aziridinyl)-3,6-bis(2-methoxyethoxy)-1,4-benzoquinone
AdrenoglomerulotropinAllopregnane-3β,17α,21-triol-11,20-dioneLupulinOxendolone
Nitrosyl FluorideDiamine OxidaseSobrerolClometacin
©2006-2023 DrugFuture->Chemical Index Database