Jesaconitine
Structural Formula Vector Image
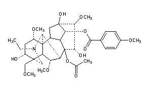
Title: Jesaconitine
CAS Registry Number: 16298-90-1
CAS Name: (1a,3a,6a,14a,15a,16b)-20-Ethyl-1,6,16-trimethoxy-4-(methoxymethyl)aconitane-3,8,13,14,15-pentol 8-acetate 14-(4-methoxybenzoate)
Molecular Formula: C35H49NO12
Molecular Weight: 675.76
Percent Composition: C 62.21%, H 7.31%, N 2.07%, O 28.41%
Literature References: From Aconitum fischeri Reich. and A. sachalinense F. Schmidt, Ranunculaceae: Makoshi, Arch. Pharm. 247, 243 (1909); Majima, Morio, Ber. 57, 1472 (1924). Structure: Ochiai et al., J. Pharm. Soc. Jpn. 75, 545 (1955); Keith, Pelletier, Chem. Commun. 1967, 993 (corr. ibid. 1968, 1739); eidem, J. Org. Chem. 33, 2497 (1968).
Properties: Amorphous powder, dec 128-131°. Sol in ether, dil acids.
 
Derivative Type: Perchlorate
Molecular Formula: C35H49NO12.HClO4
Molecular Weight: 776.22
Percent Composition: C 54.16%, H 6.49%, N 1.80%, O 32.98%, Cl 4.57%
Properties: Prisms from alcohol, dec 230-232°. [a]D -16.7° (methanol).
Optical Rotation: [a]D -16.7° (methanol)

Other Monographs:
Dimetan®Sodium PyroantimonateNifuroquineCerous Nitrate
PlumericinSongorineFormaldehyde Sodium BisulfiteTetrathiafulvalene
Isobutyl ChlorocarbonateEthohexadiolTriallateFerroglycine Sulfate
Antimony Triiodide2,3-Dimercapto-1-propanesulfonic AcidFolescutolp-Phenolsulfonic Acid
©2006-2023 DrugFuture->Chemical Index Database