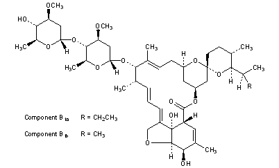
Ivermectin
Structural Formula Vector Image
Title: Ivermectin
CAS Registry Number: 70288-86-7
Additional Names: 22,23-Dihydroabamectin; 22,23-dihydroavermectin B1; 22,23-dihydro C-076B1
Manufacturers' Codes: MK-933
Trademarks: Eqvalan (Merial); Heartgard 30 (Merial); Ivomec (Merial); Mectizan (Merck & Co.); Noromectin (Norbrook); Stromectol (Merck & Co.)
Literature References: Semi-synthetic deriv of abamectin, q.v., consists of a mixture of not less than 80% component B1a and not more than 20% component B1b. Prepn: JP Kokai 79 61198; J. C. Chabala, M. H. Fisher, US 4199569 (1979, 1980 both to Merck & Co.); J. C. Chabala et al., J. Med. Chem. 23, 1134 (1980). Irreversible effects on adult parasites in onchocerciasis: A. P. Plaisier et al., J. Infect. Dis. 172, 204 (1995). Metabolism in animals: S.-H. L. Chiu et al., Drug Metab. Dispos. 14, 590 (1986). Pharmacokinetics in horses and sheep: S. E. Marriner et al., J. Vet. Pharmacol. Ther. 10, 175 (1987). HPLC determn in cattle and sheep tissues: P. C. Tway et al., J. Agric. Food Chem. 29, 1059 (1981); in human plasma and milk: R. Chiou et al., J. Chromatogr. 416, 196 (1987). Review of early chemistry and biology: W. C. Campbell et al., Science 221, 823-828 (1983). Review of clinical use and pharmacology: W. C. Campbell, G. W. Benz, J. Vet. Pharmacol. Ther. 7, 1-16 (1984); T. B. Barragry, Can. Vet. J. 28, 512-517 (1987); of pharmacology: J. L. Bennett et al., Parasitol. Today 4, 226-228 (1988). Book: Ivermectin and Abamectin, W. C. Campbell, Ed. (Springer-Verlag, New York, 1989) 363 pp. Review in filariasis: D. Richard-Lenoble et al., Fundam. Clin. Pharmacol. 17, 199-203 (2003). See also: Avermectins.
Properties: Clear, moist, off-white to slightly yellow powder. [a]D +71.5 ± 3° (c = 0.755 in chloroform). uv max (methanol): 238, 245 nm (e 27100, 30100). Soly in water: ~4 mg/ml. Virtually insol in satd hydrocarbons such as cyclohexane. Highly sol in methyl ethyl ketone, propylene glycol, polyethylene glycol. LD50 in dogs, rhesus monkeys (mg/kg): about 80, more than 24 orally. (MSDS Merck & Co. Inc., 2003).
Optical Rotation: [a]D +71.5 ± 3° (c = 0.755 in chloroform)
Absorption maximum: uv max (methanol): 238, 245 nm (e 27100, 30100)
Toxicity data: LD50 in dogs, rhesus monkeys (mg/kg): about 80, more than 24 orally. (MSDS Merck & Co. Inc., 2003)
 
Derivative Type: Component B1a
CAS Registry Number: 71827-03-7
CAS Name: 5-O-Demethyl-22,23-dihydroavermectin A1a
Additional Names: 22,23-dihydroavermectin B1a; 22,23-dihydro C-076B1a
Molecular Formula: C48H74O14
Molecular Weight: 875.09
Percent Composition: C 65.88%, H 8.52%, O 25.60%
Properties: Crystals from ethanol/water, mp 155-157°.
Melting point: mp 155-157°
 
Derivative Type: Component B1b
CAS Registry Number: 70209-81-3
CAS Name: 5-O-Demethyl-25-de(1-methylpropyl)-22,23-dihydro-25-(1-methylethyl)avermectin A1a
Additional Names: 22,23-dihydroavermectin B1b
Molecular Formula: C47H72O14
Molecular Weight: 861.07
Percent Composition: C 65.56%, H 8.43%, O 26.01%
 
Therap-Cat: Anthelmintic (Onchocerca).
Therap-Cat-Vet: Anthelmintic, insecticide, acaricide.
Keywords: Anthelmintic (Nematodes).

Other Monographs:
SinefunginPerphenazineNitranilic AcidPlutonium
HexamethylolmelamineαMNPNiobium PentachloridePhysovenine
Pyrvinium Pamoate2-(Methoxymethyl)-5-nitrofuranBiricodarFlavoxate
Alphaprodinep-(2-Methylpropenyl)phenol AcetateCitraconic AcidPotassium Metaphosphate
©2006-2023 DrugFuture->Chemical Index Database