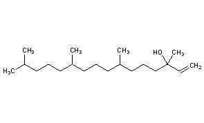
Isophytol
Structural Formula Vector Image
Title: Isophytol
CAS Registry Number: 505-32-8
CAS Name: 3,7,11,15-Tetramethyl-1-hexadecen-3-ol
Additional Names: 2,6,10,14-tetramethylhexadec-15-en-14-ol; 2,6,10-trimethyl-14-vinylpentadecan-14-ol
Molecular Formula: C20H40O
Molecular Weight: 296.53
Percent Composition: C 81.01%, H 13.60%, O 5.40%
Literature References: Decompn product of chlorophyll. Synthesis from linalool or citral: Fischer, Löwenberg, Ann. 475, 183 (1929); Karrer et al., Helv. Chim. Acta 26, 1741 (1943); Sarycheva et al., Zh. Obshch. Khim. 28, 647 (1958); Maurit et al., ibid. 32, 2483 (1962); from acetylene: Nazarov et al., ibid. 28, 1444 (1958); Blaha, Weichet, CS 88887 (1959), C.A. 54, 2167c (1960); from pseudoionone and propargyl alcohol: Sato et al., J. Org. Chem. 28, 45 (1963).
Properties: Oily liquid. d420 0.8519. nD20 1.4571. bp0.01 107-110°; bp0.06 125-128°. Practically insol in water; sol in the usual organic solvents.
Boiling point: bp0.01 107-110°; bp0.06 125-128°
Index of refraction: nD20 1.4571
Density: d420 0.8519
Use: Prepn of vitamins E and K1.

Other Monographs:
Sodium DiacetateSilver CitrateAurothioglycanideHydrocodone
VeratraldehydePotassium PyrophosphateTunicamycinPhenyl Tolyl Ketone
ThioredoxinSyringaldehydeMetaxaloneCeftobiprole Medocaril
Potassium SelenideAluminum Hexaurea Sulfate TriiodideBromic AcidThioacetic Acid
©2006-2023 DrugFuture->Chemical Index Database