Isomaltulose
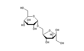
Structural Formula Vector Image
Title: Isomaltulose
CAS Registry Number: 13718-94-0; 58024-13-8 (monohydrate)
CAS Name: 6-O-a-D-Glucopyranosyl-D-fructose
Additional Names: 6-O-a-D-glucopyranosyl-D-fructofuranose
Trademarks: Palatinose (Sádeutsche Zucker-Aktiengesellschaft; Shin Mitsui Sugar Co.)
Molecular Formula: C12H22O11
Molecular Weight: 342.30
Percent Composition: C 42.11%, H 6.48%, O 51.41%
Literature References: Reducing disaccharide occurring naturally in honey and sugar cane juice; commercially available in crystalline (42% of the sweetness of sucrose) and molasses (70% of the sweetness of sucrose) forms. Prepn: D. Weidenhagen, S. Lorenz, DE 1049800 (1959 to Süddeutsche Zucker-Aktiengesellschaft); eidem, Z. Zuckerind. 7, 533 (1957); E. S. Sharpe et al., J. Org. Chem. 25, 1062 (1960). Clinical effects on glucose levels in diabetic patients: K. Kawai et al., Horm. Metab. Res. 21, 338 (1989). Review of cariological studies: D. Birkhed et al., Dtsch. Zahnaerztl. Z. 42, S124-S127 (1987). Review of development and properties: W. E. Irwin, P. J. Sträter in Alternative Sweeteners, L. O'Brien Nabors, R. C. Gelardi, Eds. (Marcel Dekker, Inc., New York, 1991) pp 299-307; and production and clinical activity: I. Takazoe in Progress in Sweeteners, T. H. Grenby, Ed. (Elsevier, Barking, UK, 1989) pp 143-167. Review of toxicology and metabolism: B. A. R. Lina et al., Food Chem. Toxicol. 40, 1375-1381 (2002).
Properties: Crystals as monohydrate, mp 123-124°. [a]D20 +97.2° (Weidenhagen, 1957); also reported as [a]D20 +103° (c = 1.9 in water) (Sharpe). Nonhygyroscopic, acid stable, low glycemic index.
Melting point: mp 123-124°
Optical Rotation: [a]D20 +97.2° (Weidenhagen, 1957); also reported as [a]D20 +103° (c = 1.9 in water) (Sharpe)
Use: Non-cariogenic sweetener; sugar substitute in foods and beverages.

Other Monographs:
Phosphorus Trioxideo-Orsellinic Acid3,4-Dinitrobenzoic AcidCurine
PsilocybinCesium CarbonateIsocarboxazidBenzyl Fumarate
BentoniteStrontium PhosphateLithium CarbonateN-(p-Methoxyphenyl)-p-phenylenediamine
PhthalazineEnanthotoxinErgoflavinClofibric Acid
©2006-2023 DrugFuture->Chemical Index Database