Inosine Pranobex
Structural Formula Vector Image
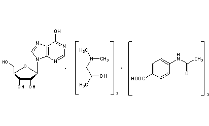
Title: Inosine Pranobex
CAS Registry Number: 36703-88-5
CAS Name: Inosine mono[4-(acetylamino)benzoate] (salt) compd with 1-(dimethylamino)-2-propanol (1:3)
Additional Names: inosine:dimethylaminoisopropanol acetamidobenzoate (1:3); inosiplex; methisoprinol
Manufacturers' Codes: NP-113; NPT-10381
Trademarks: Aviral (Medici Domus); Delimmun (Newport); Imunoviral (Newport); Isoprinosin (Newport); Isoprinosina (Newport); Isoprinosine (Newport); Isoviral (Lenza); Modimmunal (Ravizza); Pranosina (Newport); Pranosine (Newport); Viruxan (Newport)
Molecular Formula: C52H78N10O17
Molecular Weight: 1115.23
Percent Composition: C 56.00%, H 7.05%, N 12.56%, O 24.39%
Literature References: Immunostimulant complex formed from the p-acetamidobenzoate salt of dimethylaminoisopropanol and inosine in a 3:1 molar ratio. Prepn: P. Gordon, DE 1965431; idem, US 3646007 (1971, 1972 both to Newport Pharm.). Antiviral activity: E. R. Brown, P. Gordon, Can. J. Microbiol. 18, 1463 (1972); R. L. Muldoon et al., Antimicrob. Agents Chemother. 2, 224 (1972). Stimulatory effect on T-cell function: L. Binderup, Int. J. Immunopharmacol. 7, 93 (1985). Pharmacology and therapeutic potential: D. M. Campoli-Richards et al., Drugs 32, 383 (1986). Clinical immunopharmacology: A. J. Glasky, J. F. Gordon, Cancer Detect. Prev. Suppl. 1, 597 (1987). Clinical trial in subacute sclerosing panencephalitis (SSPE): C. E. Jones et al., Lancet 1, 1034 (1982); G. Gascon et al., Brain Dev. 15, 346 (1993). Clinical trial in pre-AIDS patients: C. Pedersen et al., N. Engl. J. Med. 322, 1757 (1990). Review of efficacy in HIV infection: C. De Simone et al., Int. J. Immunopharmacol. 13, Suppl. 1, 19-27 (1991).
Properties: Neutral water-soluble solid. LD50 in mice and rats (mg/kg): >4000 orally and i.p. (Gordon).
Toxicity data: LD50 in mice and rats (mg/kg): >4000 orally and i.p. (Gordon)
Therap-Cat: Immunomodulator; antiviral.
Keywords: Antiviral; Purines/Pyrimidinones; Immunomodulator.

Other Monographs:
ζ2-TocopherolChrysergonic AcidSilver Bromide2,4,7-Trinitrofluorenone
Bis(1-methylamyl) Sodium SulfosuccinateNaringenin2,5-PiperazinedioneAllyl Alcohol
RobenidineAmberlyst 15®Potassium TetraborateBufotalin
Pentaborane(11)QuercimeritrinPotassium ThiocarbonateFlucythrinate
©2006-2023 DrugFuture->Chemical Index Database