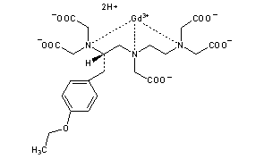
Gadoxetic Acid
Structural Formula Vector Image
Title: Gadoxetic Acid
CAS Registry Number: 135326-11-3
CAS Name: (SA-8-11252634)-[N-[(2S)-2-[bis[(carboxy-kO)methyl]amino-kN]-3-(4-ethoxyphenyl)propyl]-N-[2-[bis[(carboxy-kO)methyl]amino-kN]ethyl]glycinato(5-)-kN,kO]gadolinate(2-) dihydrogen
Additional Names: 3,6,9-triaza-3,6,9-tris(carboxymethyl)-4-(4-ethoxybenzyl)-undecanedioic acid gadolinium complex; gadolinium ethoxybenzyldiethylenetriaminepentaacetic acid; Gd-EOB-DTPA
Molecular Formula: C23H30GdN3O11
Molecular Weight: 681.75
Percent Composition: C 40.52%, H 4.44%, Gd 23.07%, N 6.16%, O 25.81%
Literature References: Paramagnetic hepatobiliary contrast agent. Prepn: H. Schmitt-Willich et al., EP 405704; eidem, US 5695739 (1991, 1997 both to Schering AG). Pharmacology: H.-J. Weinmann et al., Magn. Reson. Med. 22, 233 (1991); and toxicology: A. Mühler et al., Invest. Radiol. 28, 26 (1993). Physicochemical characterization: L. Vander Elst et al., Acta Radiol. 38, Suppl. 412, 135 (1997). Clinical pharmacokinetics: G. Shuhmann-Giampieri et al., J. Clin. Pharmacol. 37, 587 (1997). Clinical evaluation of hepatic imaging: W. Stern et al., Acta Radiol. 41, 255 (2000). Review of preclinical studies: Y. Ni, G. Marchal, Top. Magn. Reson. Imaging 9, 183-195 (1998).
 
Derivative Type: Sodium salt
CAS Registry Number: 135326-22-6
Additional Names: Gadoxetate
Manufacturers' Codes: SHL-569B
Trademarks: Eovist (Schering AG)
Molecular Formula: C23H28GdN3Na2O11
Molecular Weight: 725.71
Percent Composition: C 38.07%, H 3.89%, Gd 21.67%, N 5.79%, Na 6.34%, O 24.25%
Properties: Prepd as 0.5 mol/l soln, osmolality 1.53 osmol/kg. Viscosity (37°) 2.32 mPa.s. Amphiphilic. LD50 i.v. in mice: 7.5 mmol/kg (Weinmann).
Toxicity data: LD50 i.v. in mice: 7.5 mmol/kg (Weinmann)
 
Therap-Cat: Diagnostic aid (MRI contrast agent).
Keywords: Diagnostic Aid (MRI Contrast Agent).

Other Monographs:
Mercurous SulfateBenzpiperylonAngelic AcidFlavine-Adenine Dinucleotide
Darvan®Sodium Bismuthate(V)Nordihydroguaiaretic AcidThiazol Yellow G
Silver Chromate(VI)PhloretinToxiferine IOrotidine
Fluconazolep-Dichlorobenzene7-Morpholinomethyltheophylline2,4,6-Trimethylpyridine
©2006-2023 DrugFuture->Chemical Index Database