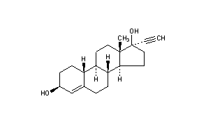
Ethynodiol
Structural Formula Vector Image
Title: Ethynodiol
CAS Registry Number: 1231-93-2
CAS Name: (3b,17a)-19-Norpregn-4-en-20-yne-3,17-diol
Additional Names: 17a-ethynyl-19-norandrost-4-ene-3b,17b-diol; 17a-ethynyl-4-estrene-3b,17b-diol; ED
Molecular Formula: C20H28O2
Molecular Weight: 300.44
Percent Composition: C 79.95%, H 9.39%, O 10.65%
Literature References: Prepn: F. B. Colton, US 2843609 (1958 to Searle). Prepn of the 3-acetate, 17-acetate, and diacetate: P. D. Klimstra, US 3176013 (1965 to Searle); see also F. Sondheimer, Y. Klibansky, Tetrahedron 5, 15 (1959). Pharmacokinetics and metabolism: C. J. Lewis et al., Xenobiotica 10, 705 (1980). Comparative clinical study in oral contraceptives: M. H. Briggs, J. Reprod. Med. 28, Suppl. 1, 92 (1983). Review of carcinogenicity studies: IARC Monographs 21, 387-398 (1979). Comprehensive description: E. P. K. Lau, J. L. Sutter, Anal. Profiles Drug Subs. 3, 253-279 (1974).
 
Derivative Type: Diacetate
CAS Registry Number: 297-76-7
Additional Names: 3b,17b-Diacetoxy-17a-ethynyl-4-estrene
Manufacturers' Codes: SC-11800
Trademarks: Femulen (Searle); Luteonorm (Serono); Luto-Metrodiol; Metrodiol (Clin-Comar-Byla)
Molecular Formula: C24H32O4
Molecular Weight: 384.51
Percent Composition: C 74.97%, H 8.39%, O 16.64%
Properties: Crystals from methanol + water, mp ~126-127°. [a]D -72.5° (chloroform).
Melting point: mp ~126-127°
Optical Rotation: [a]D -72.5° (chloroform)
 
Derivative Type: Diacetate mixture with mestranol
Trademarks: Luteolas (Serono); Metrulen; Ovaras (Serono); Ovulen
 
Derivative Type: Diacetate mixture with ethinyl estradiol
Trademarks: Conova (Gold Cross); Demulen (Searle); Miniluteolas (Serono)
 
Therap-Cat: Progestogen; in combination with estrogen as oral contraceptive.
Keywords: Contraceptive (Oral); Progestogen.

Other Monographs:
2,5-Bis(1-aziridinyl)-3,6-bis(2-methoxyethoxy)-1,4-benzoquinoneAcipimoxCyclopropyl Methyl EtherPhenelzine
Selenium ChlorideClofarabineDienogestChloroazodin
ErythropoietinOxiracetamAbietic AcidZirconium Oxide
Texanol Isobutyrate2-ChloronaphthaleneSafranalFlumiclorac
©2006-2023 DrugFuture->Chemical Index Database