Dihydrostreptomycin
Structural Formula Vector Image
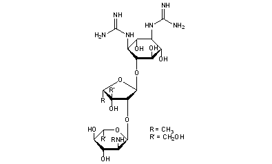
Title: Dihydrostreptomycin
CAS Registry Number: 128-46-1
CAS Name: O-2-Deoxy-2-(methylamino)-a-L-glucopyranosyl-(1®2)-O-5-deoxy-3-C-(hydroxymethyl)-a-L-lyxofuranosyl-(1®4)-N,N¢-bis(aminoiminomethyl)-D-streptamine
Additional Names: DHSM; DST
Trademarks: Abiocine (Lepetit); Vibriomycin
Molecular Formula: C21H41N7O12
Molecular Weight: 583.59
Percent Composition: C 43.22%, H 7.08%, N 16.80%, O 32.90%
Literature References: Semi-synthetic antibiotic prepd by reduction of streptomycin: Bartz et al., J. Am. Chem. Soc. 68, 2163 (1946); Fried, Wintersteiner, ibid. 69, 79 (1947); Peck, US 2498574 (1950 to Merck & Co.); Carboni, Regna, US 2522858 (1950 to Pfizer); Levy, US 2663685 (1953 to Schenley); Dolliver, Semenoff, US 2717236 (1955 to Olin Mathieson); Kaplan, US 2790792 (1957 to Bristol); Sokol, Popino, US 2784181 (1957 to Cyanamid); Jurist, US 2945850 (1960 to Olin Mathieson). Isoln from fermentation broth of Streptomyces humidus: Nakazawa et al., and Tatsuoka et al., US 2931756 and US 2950277 (both 1960 to Takeda). Crystn of free base (obtained from the sulfate): Rhodehamel et al., Science 111, 233 (1950). Crystn of the hydrochloride: Wolf et al., ibid. 109, 515 (1949); Wolf, US 2590139; US 2594245 (both 1952 to Merck & Co.). Crystn of the sulfate: Solomons, Regna, Science 109, 515 (1949); Wolf et al., ibid. 515; Wolf, US 2590140; US 2590141 (both 1952 to Merck & Co.); R. B. Peet, US 2640054 (1953 to Heyden Chem.); Katz, US 2744892 (1956 to Schenley). Total synthesis: Umezawa et al., J. Am. Chem. Soc. 96, 920 (1974); eidem, Bull. Chem. Soc. Jpn. 48, 563 (1975); T. Yamasaki et al., J. Antibiot. 31, 1233 (1978).
 
Derivative Type: Hydrate
Properties: Crystals from aq acetone. Chars at 240°, turning black up to 300° without melting.
 
Derivative Type: Trihydrochloride
CAS Registry Number: 6533-54-6
Molecular Formula: C21H41N7O12.3HCl
Molecular Weight: 692.97
Percent Composition: C 36.40%, H 6.40%, N 14.15%, O 27.71%, Cl 15.35%
Properties: Amorphous solid, dec 190-195°, or crystals from methanol. Soly in methanol at 25°: 45 mg/ml for crystalline form; >1 g/ml for amorphous form. Crystals contain methanol of crystn which is lost on heating at 100°C. [a]D25 -95° (1% soln).
Optical Rotation: [a]D25 -95° (1% soln)
 
Derivative Type: Sesquisulfate
CAS Registry Number: 5490-27-7
Trademarks: Didromycine (Specia); Double-mycin (Heyl); Sol-Mycin (Roxane); Streptomagma (Wyeth)
Molecular Formula: (C21H41N7O12)2.3H2SO4
Molecular Weight: 1461.42
Percent Composition: C 34.52%, H 6.07%, N 13.42%, O 39.41%, S 6.58%
Properties: Amorphous solid; crystalline form from water + (methanol, methyl ethyl ketone, or other low boiling solvent). Crystals, dec 255-265°, also reported as dec 250°. [a]D25 -88.5° (1% soln). Crystals show very little hygroscopicity in contrast to amorphous form. Both forms are very sol in water. Solubility in 50% methanol + water: 0.8 mg/ml for crystals; 100 mg/ml for amorphous form. Soly at 28° (mg/ml): >20 in water; 0.35 in methanol; 0.10 in ethanol: Weiss et al., Antibiot. Chemother. 7, 374 (1957). Each milligram contains 800 micrograms of dihydrostreptomycin base on a potency basis.
Optical Rotation: [a]D25 -88.5° (1% soln)
 
Derivative Type: Pantothenate
CAS Registry Number: 3563-84-6
Trademarks: Didrothenat (Grñenthal); Pantostrep
Molecular Formula: C21H41N7O12.C9H17NO5
Molecular Weight: 802.82
Percent Composition: C 44.88%, H 7.28%, N 13.96%, O 33.88%
 
Therap-Cat: Antibacterial (tuberculostatic).
Therap-Cat-Vet: Antibacterial.
Keywords: Antibacterial (Antibiotics); Aminoglycosides; Antibacterial (Tuberculostatic).

Other Monographs:
CefuzonamOil of Myrtleβ,β'-DinaphthylamineRuberythric Acid
Gold TribromideQuinolinic Acidδ -TocopherolGlucose-6-phosphate
Thallium SelenidePhosphorus TribromideSodium-Lead AlloyCicletanine
MethylcytisineZinc HexafluorosilicateN-MethylpyrrolineFerrichromes
©2006-2023 DrugFuture->Chemical Index Database