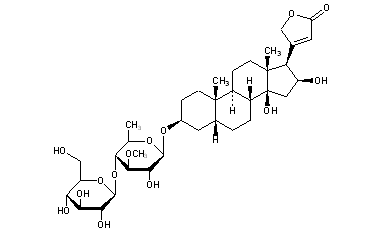
Digitalin
Structural Formula Vector Image
Title: Digitalin
CAS Registry Number: 752-61-4
CAS Name: (3b,5b,16b)-3-[(6-Deoxy-4-O-b-D-glucopyranosyl-3-O-methyl-b-D-galactopyranosyl)oxy]-14,16-dihydroxycard-20(22)-enolide
Additional Names: digitalinum verum; digitalinum true; Schmiedeberg's digitalin
Trademarks: Diginorgin
Molecular Formula: C36H56O14
Molecular Weight: 712.82
Percent Composition: C 60.66%, H 7.92%, O 31.42%
Literature References: Obtained from seeds of Digitalis purpurea L., Scrophulariaceae, and from roots of Adenium honghel A. DC., Apocynaceae: Schmiedeberg, Arch. Exp. Pathol. Pharmakol. 3, 16 (1874); Windaus, Haack, Ber. 62, 475 (1929); Hunger, Reichstein, Helv. Chim. Acta 33, 76 (1950); Sasakawa, J. Pharm. Soc. Jpn. 74, 474 (1954); Miyatake et al., Pharm. Bull. 5, 157 (1957).
Properties: Crystals from methanol + ether and methanol + water, mp 240-243°. [a]D20 -1.1° (c = 0.894 in methanol). Slightly sol in water, chloroform or ether; sol in alcohol.
Melting point: mp 240-243°
Optical Rotation: [a]D20 -1.1° (c = 0.894 in methanol)
 
Derivative Type: 16-Acetyldigitalinum verum
Molecular Formula: C38H58O15
Molecular Weight: 754.86
Percent Composition: C 60.46%, H 7.74%, O 31.79%
Literature References: Prepn: Miyatake et al., US 3023147 (1962).
Properties: Amorphous powder. Freely sol in water, alcohol, acetone. Practically insol in benzene, ether. uv max: 217 nm (log e 4.16). [a]D26 -21.1° (methanol).
Optical Rotation: [a]D26 -21.1° (methanol)
Absorption maximum: uv max: 217 nm (log e 4.16)
 
Therap-Cat: Cardiotonic.
Keywords: Cardiotonic.

Other Monographs:
Selenium HexafluorideSuricloneIsoamyl CyanideInterleukin-1 Receptor Antagonist
Lead HexafluorosilicatePromedol2,3,6-Trichloro-p-cresolBrallobarbital
Fenoxaprop-ethylGuinea Green BOil of Camphor, RectifiedRimsulfuron
Quebracho ColoradoDemexiptilineResodecCarboplatin
©2006-2023 DrugFuture->Chemical Index Database