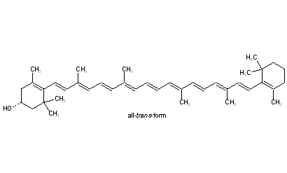
Cryptoxanthin
Structural Formula Vector Image
Title: Cryptoxanthin
CAS Registry Number: 472-70-8
CAS Name: (3R)-b,b-Caroten-3-ol
Additional Names: cryptoxanthol; caricaxanthin; hydroxy-b-carotene; b-caroten-3-ol; all-trans-cryptoxanthin
Molecular Formula: C40H56O
Molecular Weight: 552.87
Percent Composition: C 86.90%, H 10.21%, O 2.89%
Literature References: Carotenoid pigment with vitamin A activity, best isolated from petals and berries of Physalis species: Kuhn, Grundmann, Ber. 66, 1746 (1933). Widely distributed, also was isolated from orange rind, Carica papaya L., Caricaceae, Cucurbita pepo L., Cucurbitaceae, Zea mays L., Gramineae, egg yolk, butter, bovine blood serum. Structure: Kuhn, Grundmann, Ber. 66, 1746 (1933); Karrer, Schlientz, Helv. Chim. Acta 17, 55 (1934); Cholnoky et al., Ann. 616, 207 (1958). Total synthesis: Isler et al., Helv. Chim. Acta 40, 456 (1957); Loeber et al., J. Chem. Soc. C 1971, 404.
Properties: Red plates with metallic luster from ether + methanol. mp 158-159° (racemate); 169° (natural). Absorption max: 452, 480 nm (E1%1cm 2380, 2080). Freely sol in chloroform, benzene, pyridine, carbon disulfide. Less sol in ligroin, petr ether, alcohol, methanol.
Melting point: mp 158-159° (racemate); 169° (natural)
Absorption maximum: Absorption max: 452, 480 nm (E1%1cm 2380, 2080)
 
Derivative Type: Monoacetate
Molecular Formula: C42H58O2
Molecular Weight: 594.91
Percent Composition: C 84.79%, H 9.83%, O 5.38%
Properties: Deep red leaflets, mp 117.5°.
Melting point: mp 117.5°

Other Monographs:
Trihexyphenidyl HydrochlorideEchinochrome ACupric Tungstate(VI)Xanthosine
StreptobiosamineLutetium3,3',4',5-TetrachlorosalicylanilideElcatonin
Bunazosin2-BenzimidazolethiolEdifoligide SodiumNimetazepam
MetribuzinFirefly LuciferinAcedapsoneEthylbenzhydramine
©2006-2023 DrugFuture->Chemical Index Database