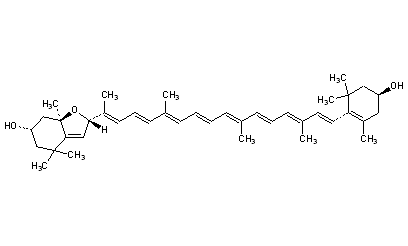
Chrysanthemaxanthin
Structural Formula Vector Image
Title: Chrysanthemaxanthin
CAS Registry Number: 27780-11-6
CAS Name: (3S,3¢R,5R,6¢R,8S)-5,8-Epoxy-5,8-dihydro-b,e-carotene-3,3¢-diol
Molecular Formula: C40H56O3
Molecular Weight: 584.87
Percent Composition: C 82.14%, H 9.65%, O 8.21%
Literature References: Carotenoid pigment. Occurs together with flavoxanthin, q.v.. Has same structural formula, mp, rotation, and absorption as flavoxanthin, but differs sterically. Can be separated chromatographically: in a zinc carbonate column the chrysanthemaxanthin zone locates itself below flavoxanthin and above lutein epoxide. Isoln from asters: Karrer, Jucker, Helv. Chim. Acta 26, 626 (1943). Partial synthesis from lutein, eidem, ibid. 28, 300 (1945). For absolute configuration see: H. Cadosch et al., ibid. 61, 783 (1978).
Properties: Golden yellow leaflets, mp 184-185°, also reported as mp 178.5-180° (Codosch). [a]D23 +104° ±5% (c = 1.833 mg/ml in chloroform). Absorption max (CHCl3): 459, 430 nm. uv max (ethanol): 204, 251, 298, 311, 399, 422, 448 nm (e 27300, 28800, 10000, 13100, 97700, 150400, 148500). Freely sol in chloroform, benzene, acetone. Less sol in methanol, ethanol. Almost insol in petr ether.
Melting point: mp 184-185°; mp 178.5-180° (Codosch)
Optical Rotation: [a]D23 +104° ±5% (c = 1.833 mg/ml in chloroform)
Absorption maximum: Absorption max (CHCl3): 459, 430 nm; uv max (ethanol): 204, 251, 298, 311, 399, 422, 448 nm (e 27300, 28800, 10000, 13100, 97700, 150400, 148500)
NOTE: Chrysanthemaxanthin has no vitamin A activity.

Other Monographs:
TartrazinePentahomoserineGentiobiosePolytetrafluoroethylene
Potassium Tetraiodomercurate(II)HygrineDurohydroquinoneEtoperidone
PromegestoneButaneHeptanal Sodium Bisulfite2-Amino-4,6-dichlorophenol
Sodium Hexachloroplatinate(IV)Indium SelenideBismuth Chloride OxideAluminum Benzoate
©2006-2023 DrugFuture->Chemical Index Database